mp-8977/Ca2PN3/anharm

Harmonic properties

../../_images/fig_bandos_pr1676.png

(a) Phonon dispersion with participation ratio and DOS

../../_images/fig_thermo1676.png

(b) Thermodynamic properties

Grüneisen parameters

../../_images/fig_gru_all983.png

(a) Grüneisen parameters

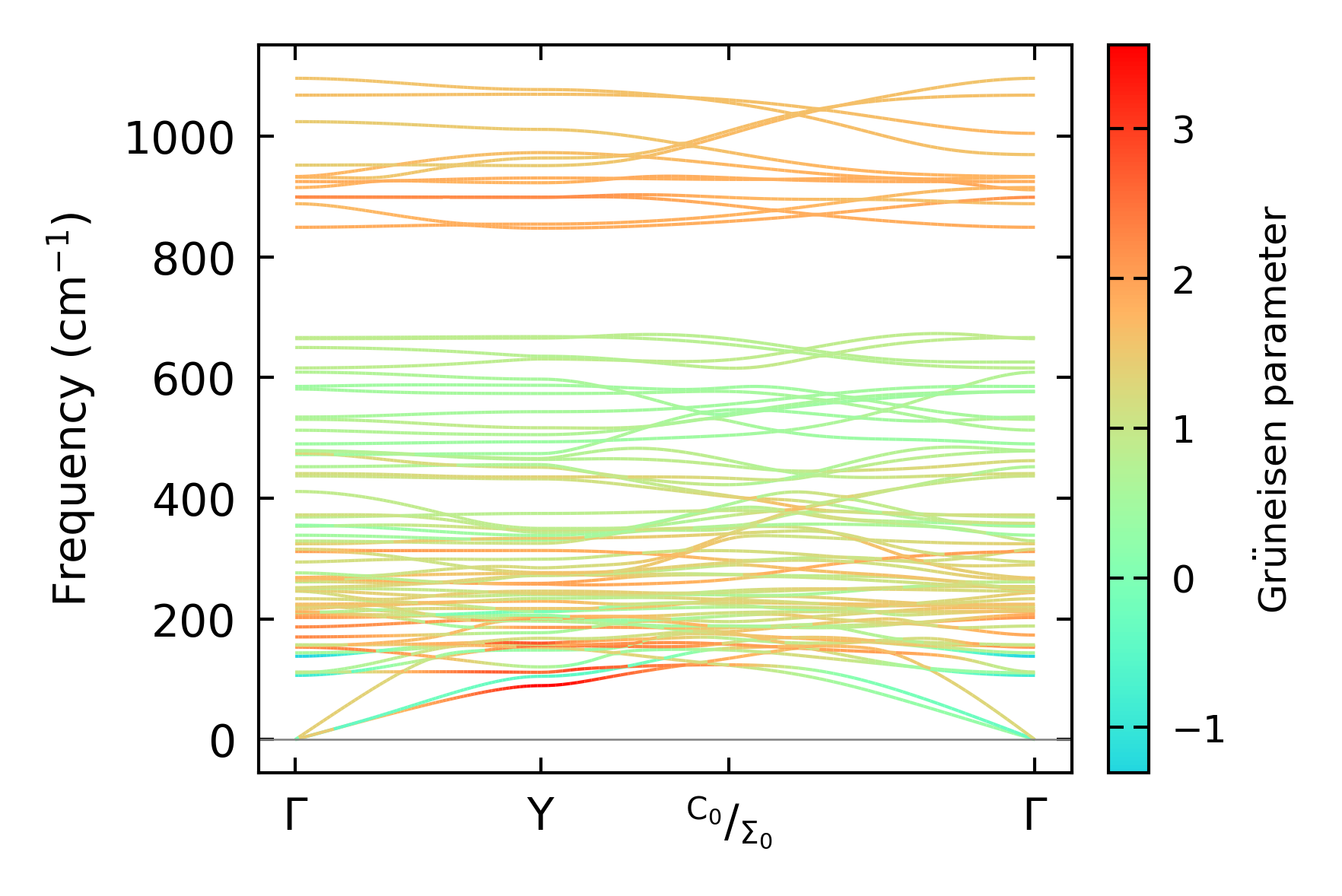
../../_images/fig_gruneisen983.png

(b) Phonon dispersion with Grüneisen parameters

Thermal conductivity

3-phonon (LASSO) — q-mesh: 13x13x6, supercell: 2x1x1

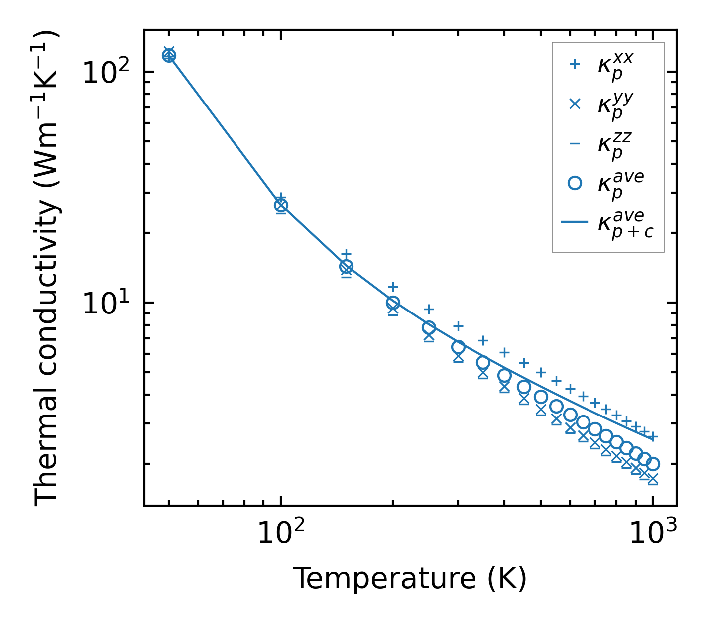
../../_images/fig_kappa1907.png

(a) Temperature-dependent lattice thermal conductivity

../../_images/fig_kappa_vs_grain_size994.png

(b) Peierls lattice thermal conductivity w.r.t grain size

Phonon lifetime and scattering rates

../../_images/fig_lifetime976.png

(a) Phonon lifetime due to phonon-phonon scattering

../../_images/fig_scat_rates975.png

(b) Phonon scattering rates

Cumulative and spectral thermal conductivity

../../_images/fig_cumu_frequency976.png

(a) Spectral and cumulative thermal conductivity w.r.t frequency

../../_images/fig_cumu_mfp976.png

(b) Spectral and cumulative thermal conductivity w.r.t MFP

Force constants

../../_images/fig_fc21509.png

(a) Force constants w.r.t atomic distance

Summary

../../_images/fig_kappa1908.png

(a) Temperature-dependent lattice thermal conductivity

../../_images/fig_times2503.png

(b) Computation time