mp-8217-2/Cs2GeF6/anharm

Equation of state

../../_images/fig_bm889.png

(a) Equation of state

Harmonic properties

../../_images/fig_bandos_pr2088.png

(a) Phonon dispersion with participation ratio and DOS

../../_images/fig_thermo2088.png

(b) Thermodynamic properties

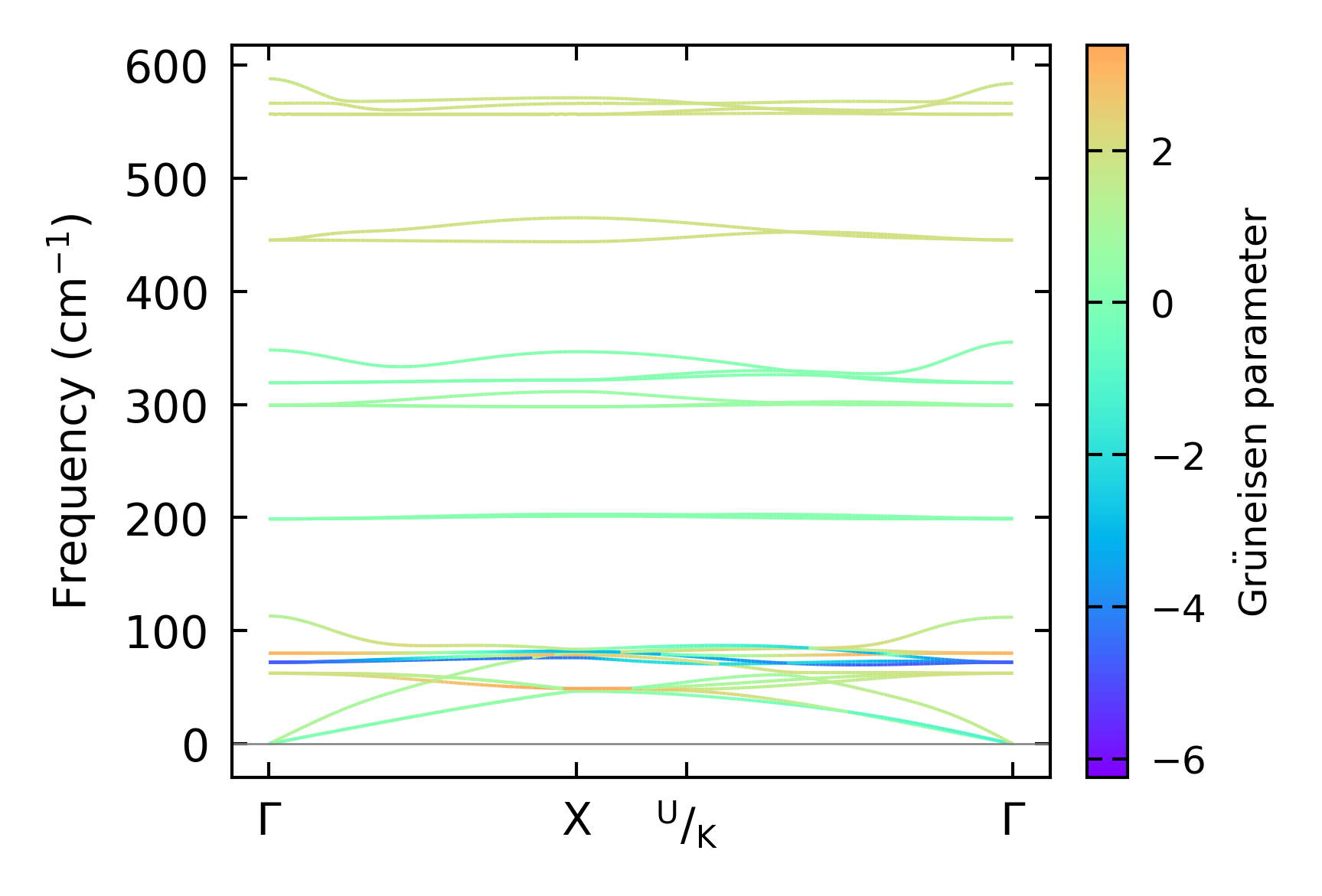
Grüneisen parameters

../../_images/fig_gru_all1197.png

(a) Grüneisen parameters

../../_images/fig_gruneisen1197.png

(b) Phonon dispersion with Grüneisen parameters

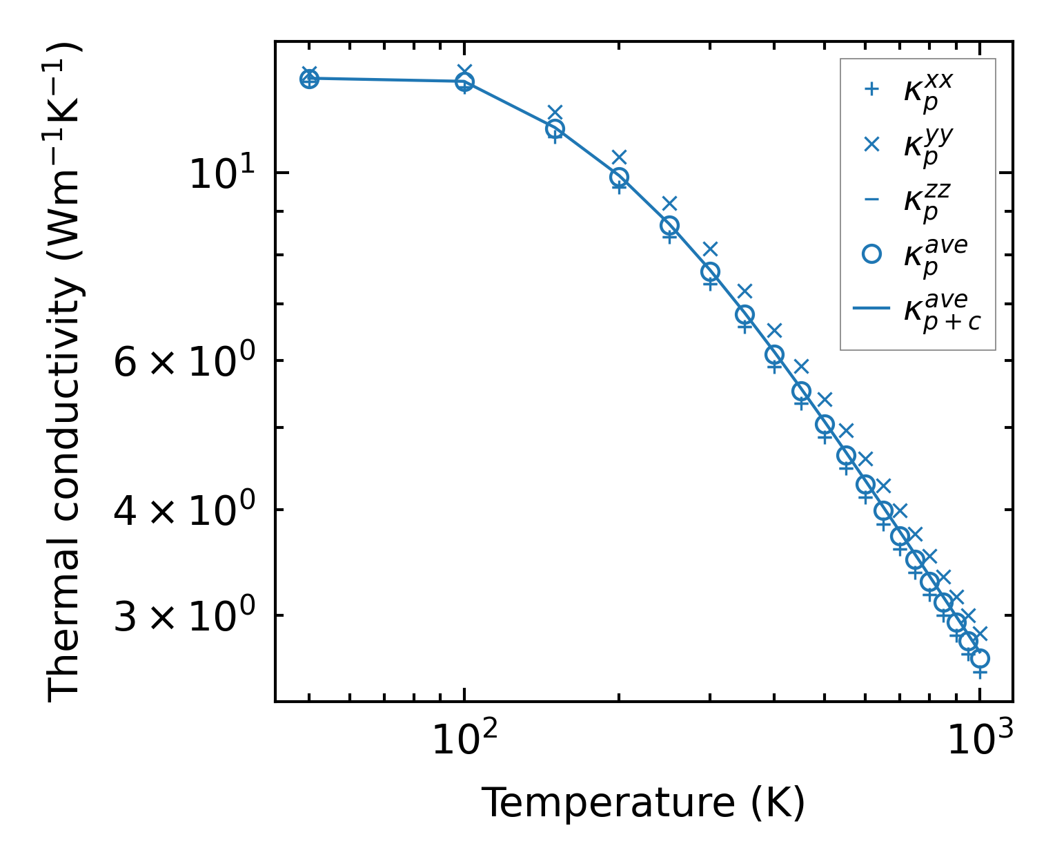
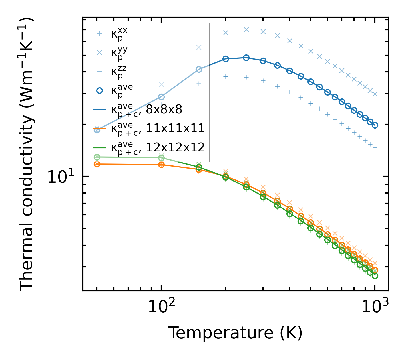
Thermal conductivity

3-phonon (LASSO) — q-mesh: 12x12x12, supercell: 1x1x1

../../_images/fig_kappa2308.png

(a) Temperature-dependent lattice thermal conductivity

../../_images/fig_kappa_vs_grain_size1211.png

(b) Peierls lattice thermal conductivity w.r.t grain size

Phonon lifetime and scattering rates

../../_images/fig_lifetime1187.png

(a) Phonon lifetime due to phonon-phonon scattering

../../_images/fig_scat_rates1186.png

(b) Phonon scattering rates

Cumulative and spectral thermal conductivity

../../_images/fig_cumu_frequency1187.png

(a) Spectral and cumulative thermal conductivity w.r.t frequency

../../_images/fig_cumu_mfp1187.png

(b) Spectral and cumulative thermal conductivity w.r.t MFP

Force constants

../../_images/fig_fc21909.png

(a) Force constants w.r.t atomic distance

Summary

../../_images/fig_kappa2309.png

(a) Temperature-dependent lattice thermal conductivity

../../_images/fig_times3206.png

(b) Computation time