mp-8876/Ca4Al6SO12/anharm

Equation of state

../../_images/fig_bm798.png

(a) Equation of state

Harmonic properties

../../_images/fig_bandos_pr1947.png

(a) Phonon dispersion with participation ratio and DOS

../../_images/fig_thermo1947.png

(b) Thermodynamic properties

Grüneisen parameters

../../_images/fig_gru_all1119.png

(a) Grüneisen parameters

../../_images/fig_gruneisen1119.png

(b) Phonon dispersion with Grüneisen parameters

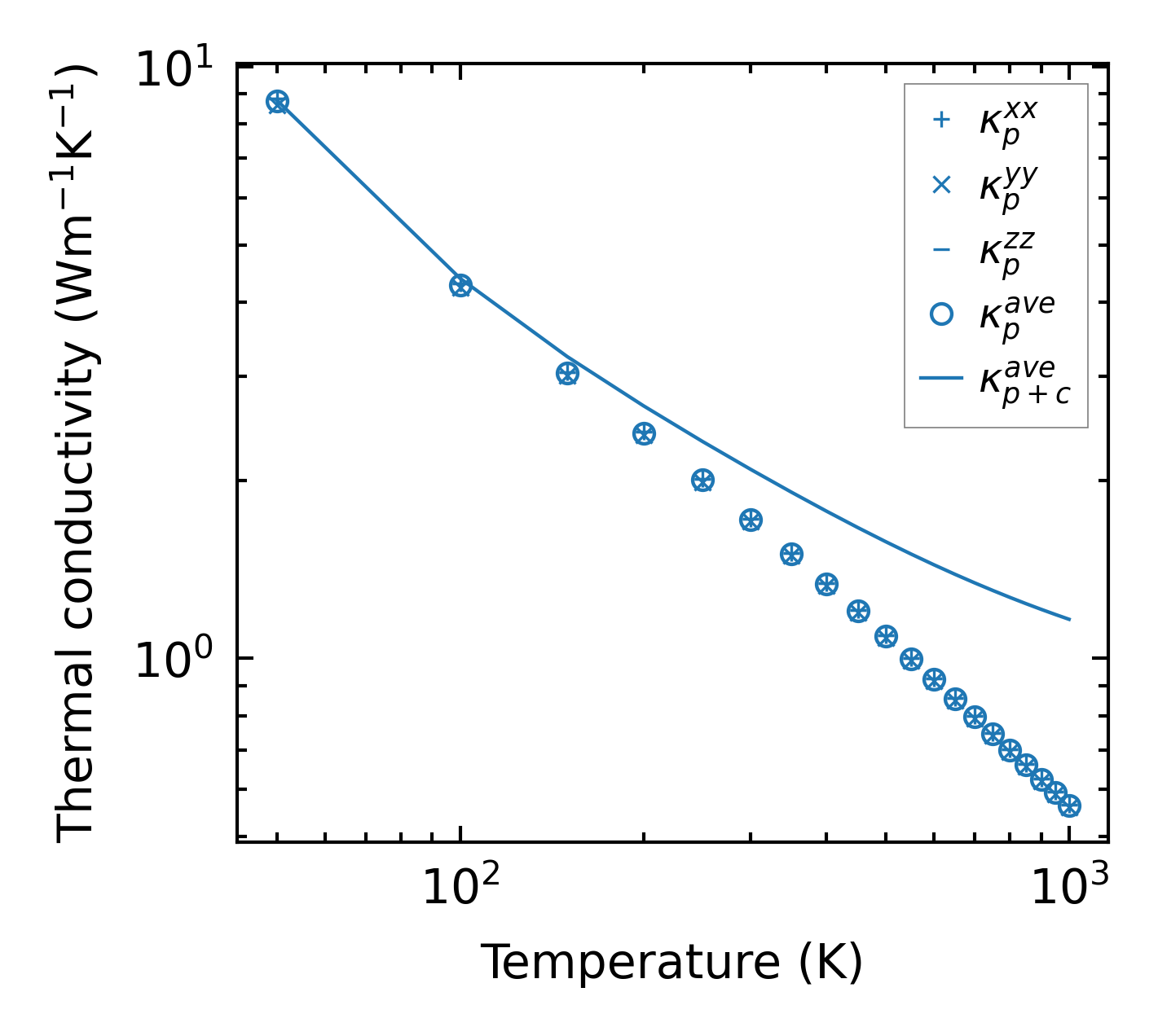
Thermal conductivity

3-phonon (LASSO) — q-mesh: 10x10x10, supercell: 1x1x1

../../_images/fig_kappa2154.png

(a) Temperature-dependent lattice thermal conductivity

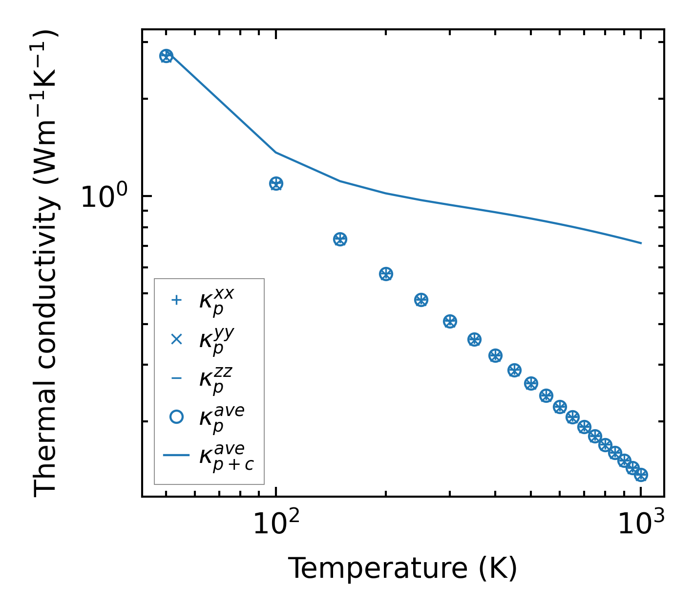
../../_images/fig_kappa_vs_grain_size1130.png

(b) Peierls lattice thermal conductivity w.r.t grain size

3-phonon (LASSO), supercell 2x2x2 — q-mesh: 10x10x10, supercell: 2x2x2

../../_images/fig_kappa2155.png

(a) Temperature-dependent lattice thermal conductivity

../../_images/fig_kappa_vs_grain_size1131.png

(b) Peierls lattice thermal conductivity w.r.t grain size

Phonon lifetime and scattering rates

../../_images/fig_lifetime1110.png

(a) Phonon lifetime due to phonon-phonon scattering

../../_images/fig_scat_rates1109.png

(b) Phonon scattering rates

Cumulative and spectral thermal conductivity

../../_images/fig_cumu_frequency1110.png

(a) Spectral and cumulative thermal conductivity w.r.t frequency

../../_images/fig_cumu_mfp1110.png

(b) Spectral and cumulative thermal conductivity w.r.t MFP

Force constants

../../_images/fig_fc21770.png

(a) Force constants w.r.t atomic distance

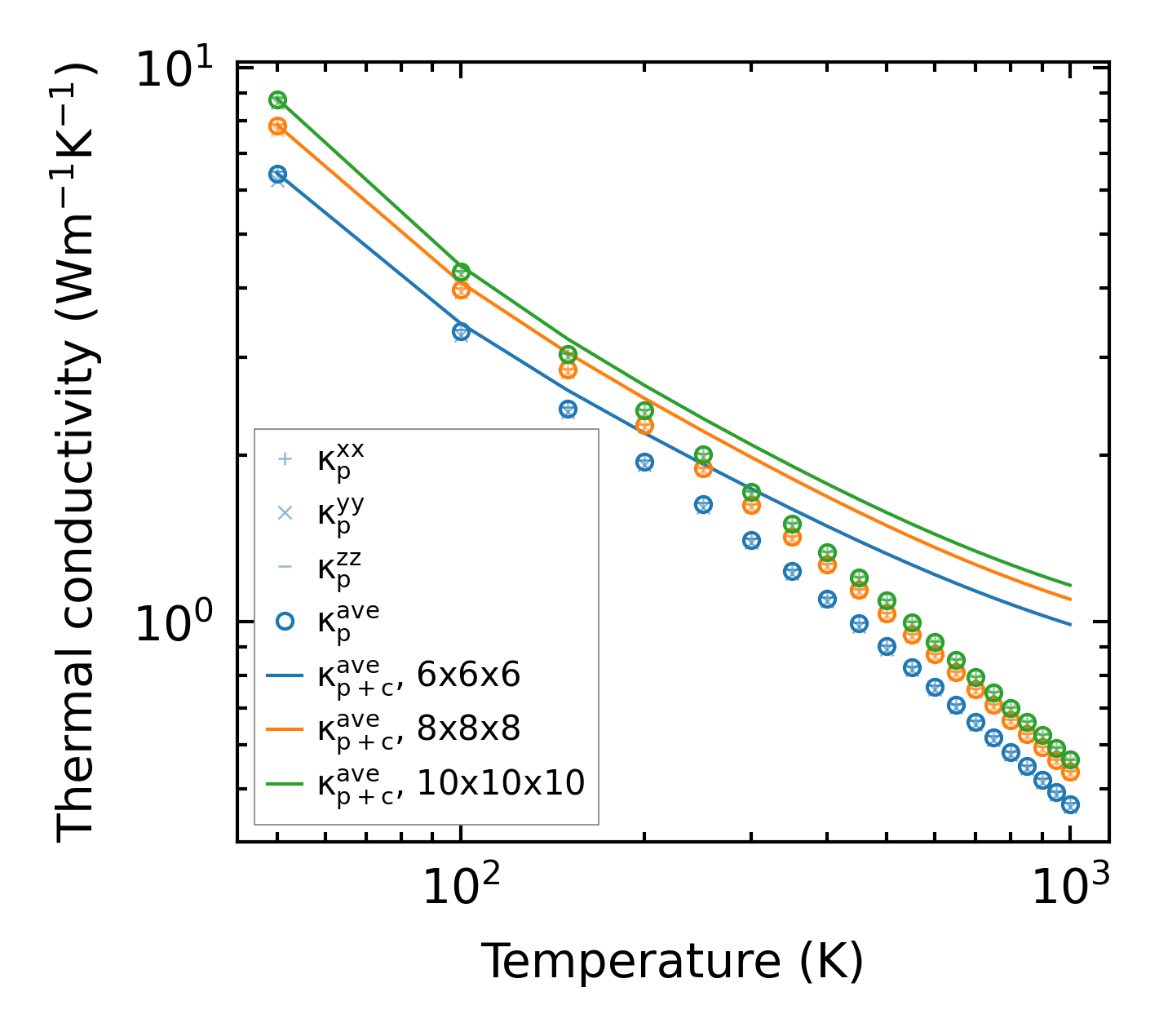
Summary

../../_images/fig_kappa2156.png

(a) Temperature-dependent lattice thermal conductivity

../../_images/fig_times2954.png

(b) Computation time