mp-29988/CsPd2Cl5/anharm

Harmonic properties

../../_images/fig_bandos_pr11056.png

(a) Phonon dispersion with participation ratio and DOS

../../_images/fig_thermo11056.png

(b) Thermodynamic properties

Grüneisen parameters

../../_images/fig_gru_all4544.png

(a) Grüneisen parameters

../../_images/fig_gruneisen4544.png

(b) Phonon dispersion with Grüneisen parameters

Thermal conductivity

3-phonon (LASSO) — q-mesh: 4x6x13, supercell: 1x2x2

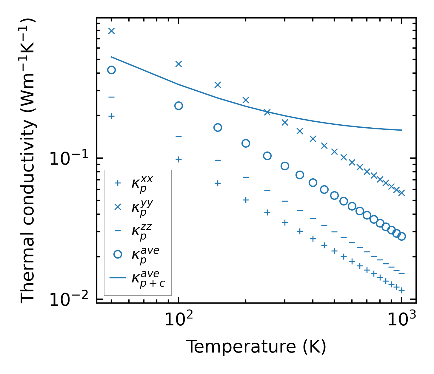
../../_images/fig_kappa8573.png

(a) Temperature-dependent lattice thermal conductivity

../../_images/fig_kappa_vs_grain_size4599.png

(b) Peierls lattice thermal conductivity w.r.t grain size

Phonon lifetime and scattering rates

../../_images/fig_lifetime4500.png

(a) Phonon lifetime due to phonon-phonon scattering

../../_images/fig_scat_rates4499.png

(b) Phonon scattering rates

Cumulative and spectral thermal conductivity

../../_images/fig_cumu_frequency4500.png

(a) Spectral and cumulative thermal conductivity w.r.t frequency

../../_images/fig_cumu_mfp4499.png

(b) Spectral and cumulative thermal conductivity w.r.t MFP

Force constants

../../_images/fig_fc210780.png

(a) Force constants w.r.t atomic distance

Summary

../../_images/fig_kappa8574.png

(a) Temperature-dependent lattice thermal conductivity

../../_images/fig_times18881.png

(b) Computation time