mp-29803/SiH/anharm

Harmonic properties

../../_images/fig_bandos_pr11317.png

(a) Phonon dispersion with participation ratio and DOS

../../_images/fig_thermo11317.png

(b) Thermodynamic properties

Grüneisen parameters

../../_images/fig_gru_all4678.png

(a) Grüneisen parameters

../../_images/fig_gruneisen4678.png

(b) Phonon dispersion with Grüneisen parameters

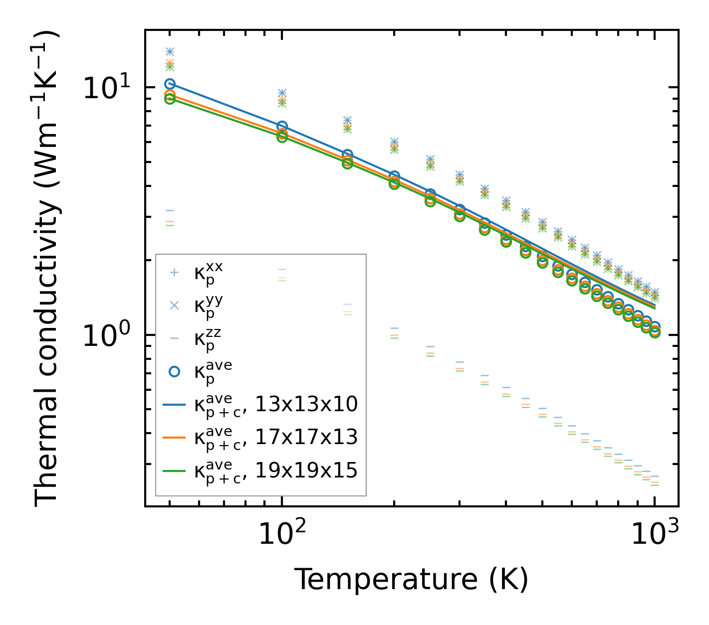
Thermal conductivity

3-phonon (LASSO) — q-mesh: 19x19x15, supercell: 3x3x3

../../_images/fig_kappa8830.png

(a) Temperature-dependent lattice thermal conductivity

../../_images/fig_kappa_vs_grain_size4735.png

(b) Peierls lattice thermal conductivity w.r.t grain size

Phonon lifetime and scattering rates

../../_images/fig_lifetime4634.png

(a) Phonon lifetime due to phonon-phonon scattering

../../_images/fig_scat_rates4633.png

(b) Phonon scattering rates

Cumulative and spectral thermal conductivity

../../_images/fig_cumu_frequency4634.png

(a) Spectral and cumulative thermal conductivity w.r.t frequency

../../_images/fig_cumu_mfp4633.png

(b) Spectral and cumulative thermal conductivity w.r.t MFP

Force constants

../../_images/fig_fc211033.png

(a) Force constants w.r.t atomic distance

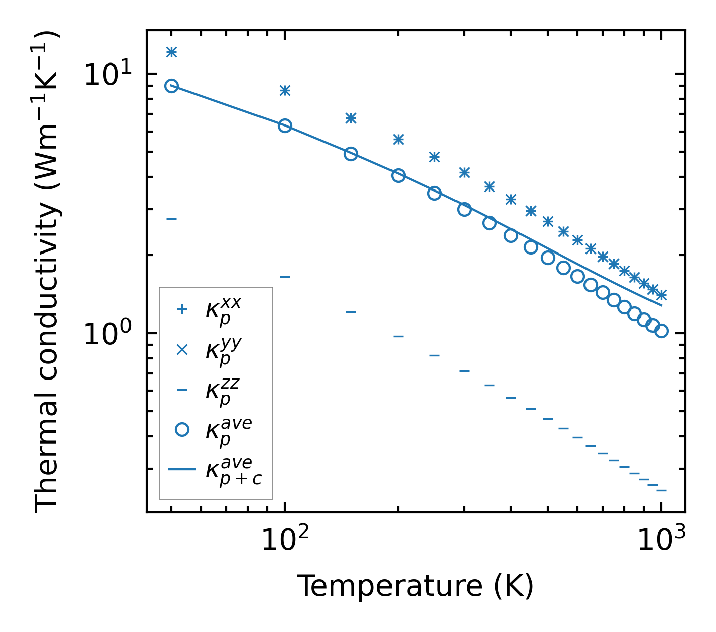
Summary

../../_images/fig_kappa8831.png

(a) Temperature-dependent lattice thermal conductivity

../../_images/fig_times19314.png

(b) Computation time