mp-29312/InI2/anharm

Harmonic properties

../../_images/fig_bandos_pr11486.png

(a) Phonon dispersion with participation ratio and DOS

../../_images/fig_thermo11486.png

(b) Thermodynamic properties

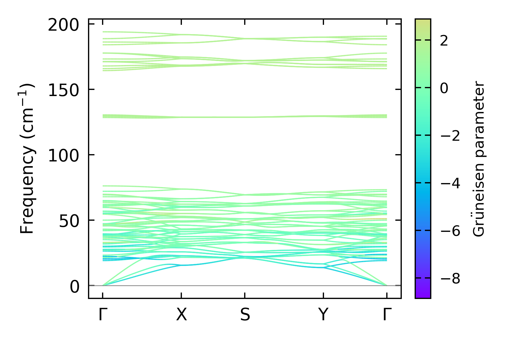
Grüneisen parameters

../../_images/fig_gru_all4761.png

(a) Grüneisen parameters

../../_images/fig_gruneisen4761.png

(b) Phonon dispersion with Grüneisen parameters

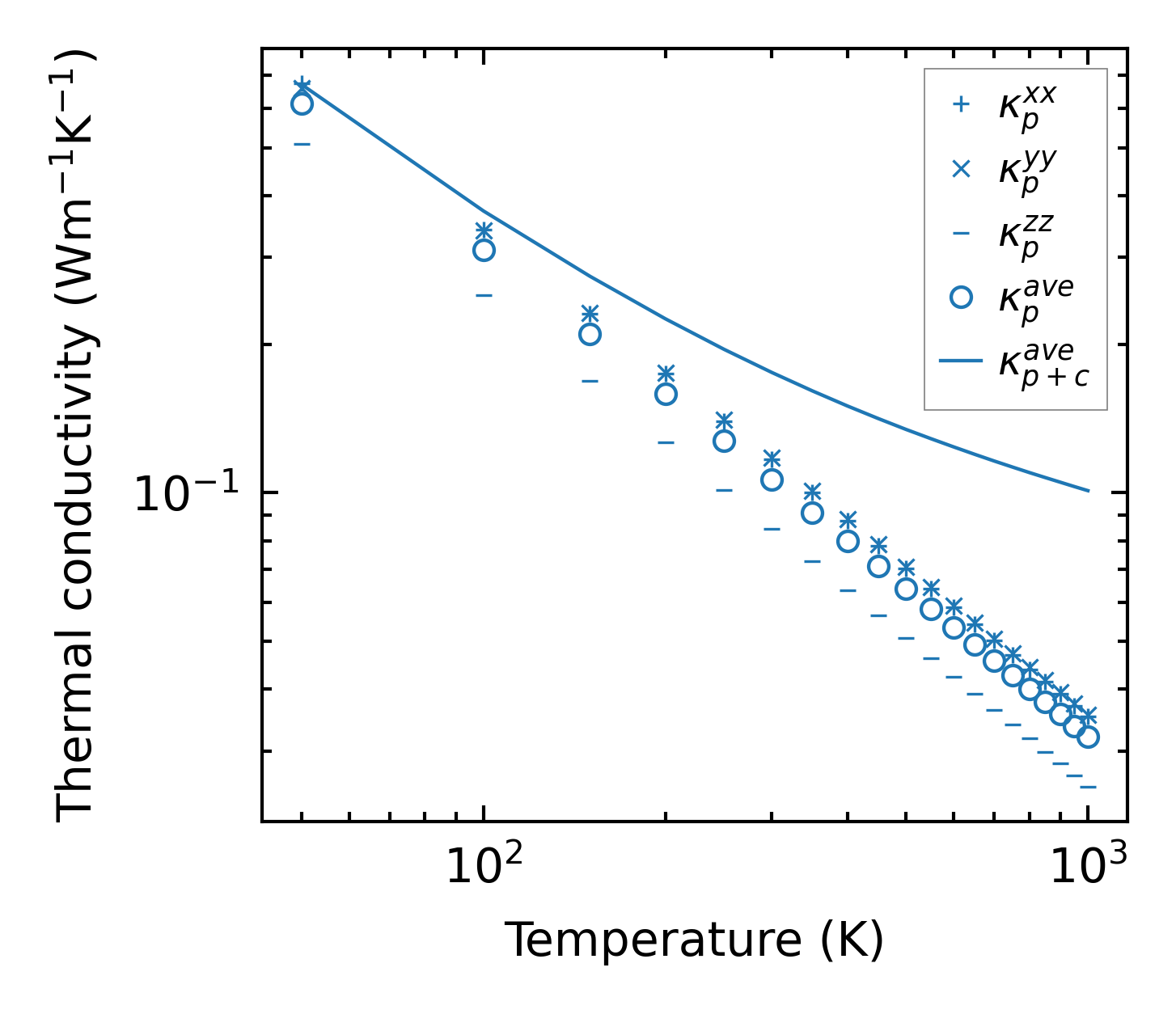
Thermal conductivity

3-phonon (LASSO) — q-mesh: 8x6x6, supercell: 2x2x1

../../_images/fig_kappa8986.png

(a) Temperature-dependent lattice thermal conductivity

../../_images/fig_kappa_vs_grain_size4820.png

(b) Peierls lattice thermal conductivity w.r.t grain size

Phonon lifetime and scattering rates

../../_images/fig_lifetime4716.png

(a) Phonon lifetime due to phonon-phonon scattering

../../_images/fig_scat_rates4715.png

(b) Phonon scattering rates

Cumulative and spectral thermal conductivity

../../_images/fig_cumu_frequency4716.png

(a) Spectral and cumulative thermal conductivity w.r.t frequency

../../_images/fig_cumu_mfp4715.png

(b) Spectral and cumulative thermal conductivity w.r.t MFP

Force constants

../../_images/fig_fc211201.png

(a) Force constants w.r.t atomic distance

Summary

../../_images/fig_kappa8987.png

(a) Temperature-dependent lattice thermal conductivity

../../_images/fig_times19583.png

(b) Computation time