mp-29501/Rb3AsSe16/anharm

Harmonic properties

../../_images/fig_bandos_pr11227.png

(a) Phonon dispersion with participation ratio and DOS

../../_images/fig_thermo11227.png

(b) Thermodynamic properties

Grüneisen parameters

../../_images/fig_gru_all4642.png

(a) Grüneisen parameters

../../_images/fig_gruneisen4642.png

(b) Phonon dispersion with Grüneisen parameters

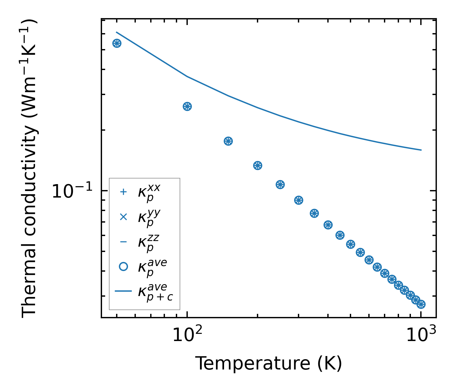
Thermal conductivity

3-phonon (LASSO) — q-mesh: 6x6x6, supercell: 1x1x1

../../_images/fig_kappa8761.png

(a) Temperature-dependent lattice thermal conductivity

../../_images/fig_kappa_vs_grain_size4699.png

(b) Peierls lattice thermal conductivity w.r.t grain size

Phonon lifetime and scattering rates

../../_images/fig_lifetime4598.png

(a) Phonon lifetime due to phonon-phonon scattering

../../_images/fig_scat_rates4597.png

(b) Phonon scattering rates

Cumulative and spectral thermal conductivity

../../_images/fig_cumu_frequency4598.png

(a) Spectral and cumulative thermal conductivity w.r.t frequency

../../_images/fig_cumu_mfp4597.png

(b) Spectral and cumulative thermal conductivity w.r.t MFP

Force constants

../../_images/fig_fc210943.png

(a) Force constants w.r.t atomic distance

Summary

../../_images/fig_kappa8762.png

(a) Temperature-dependent lattice thermal conductivity

../../_images/fig_times19174.png

(b) Computation time