mp-29139/NaAuSe2/anharm

Harmonic properties

../../_images/fig_bandos_pr11408.png

(a) Phonon dispersion with participation ratio and DOS

../../_images/fig_thermo11408.png

(b) Thermodynamic properties

Grüneisen parameters

../../_images/fig_gru_all4726.png

(a) Grüneisen parameters

../../_images/fig_gruneisen4726.png

(b) Phonon dispersion with Grüneisen parameters

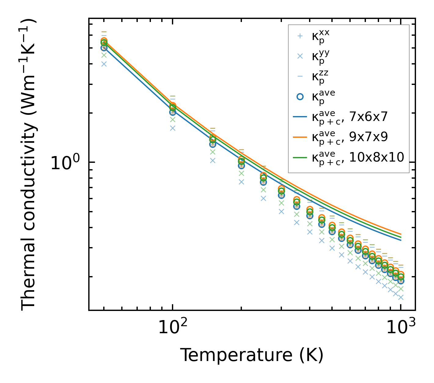
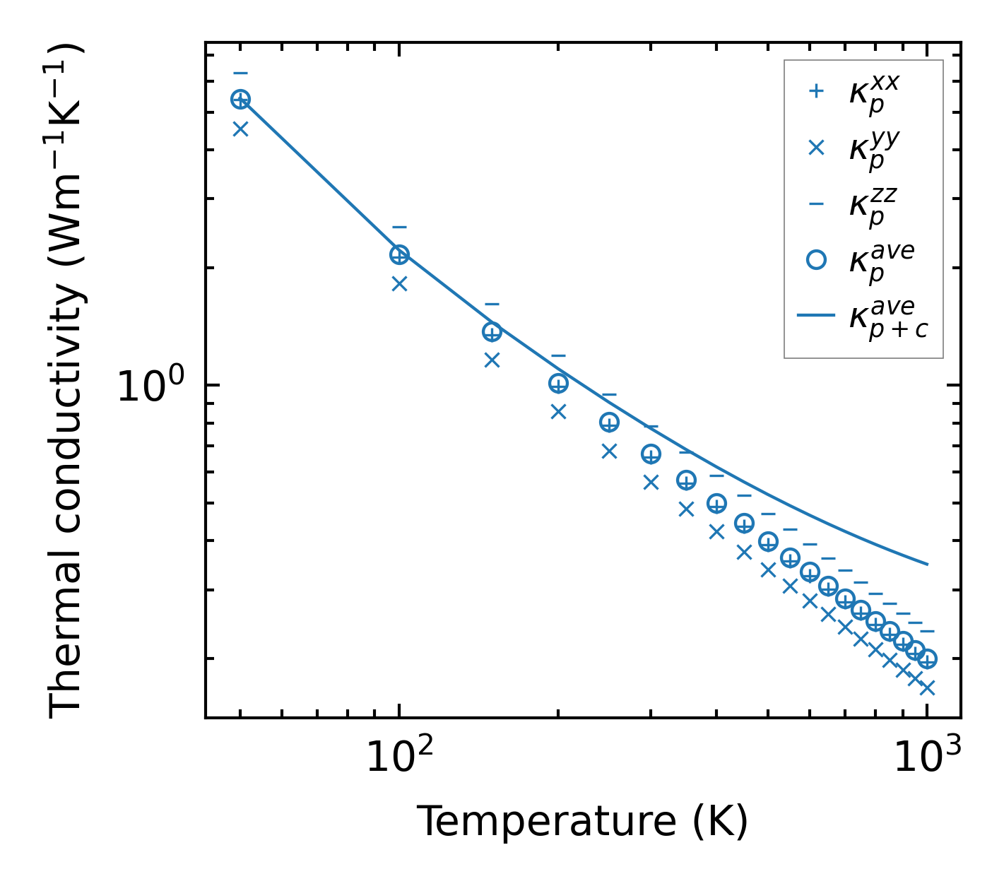
Thermal conductivity

3-phonon (LASSO) — q-mesh: 10x8x10, supercell: 2x2x2

../../_images/fig_kappa8920.png

(a) Temperature-dependent lattice thermal conductivity

../../_images/fig_kappa_vs_grain_size4785.png

(b) Peierls lattice thermal conductivity w.r.t grain size

Phonon lifetime and scattering rates

../../_images/fig_lifetime4682.png

(a) Phonon lifetime due to phonon-phonon scattering

../../_images/fig_scat_rates4681.png

(b) Phonon scattering rates

Cumulative and spectral thermal conductivity

../../_images/fig_cumu_frequency4682.png

(a) Spectral and cumulative thermal conductivity w.r.t frequency

../../_images/fig_cumu_mfp4681.png

(b) Spectral and cumulative thermal conductivity w.r.t MFP

Force constants

../../_images/fig_fc211124.png

(a) Force constants w.r.t atomic distance

Summary

../../_images/fig_kappa8921.png

(a) Temperature-dependent lattice thermal conductivity

../../_images/fig_times19456.png

(b) Computation time