mp-29212-2/Tl4PbI6/anharm

Equation of state

../../_images/fig_bm5585.png

(a) Equation of state

Harmonic properties

../../_images/fig_bandos_pr11443.png

(a) Phonon dispersion with participation ratio and DOS

../../_images/fig_thermo11443.png

(b) Thermodynamic properties

Grüneisen parameters

../../_images/fig_gru_all4741.png

(a) Grüneisen parameters

../../_images/fig_gruneisen4741.png

(b) Phonon dispersion with Grüneisen parameters

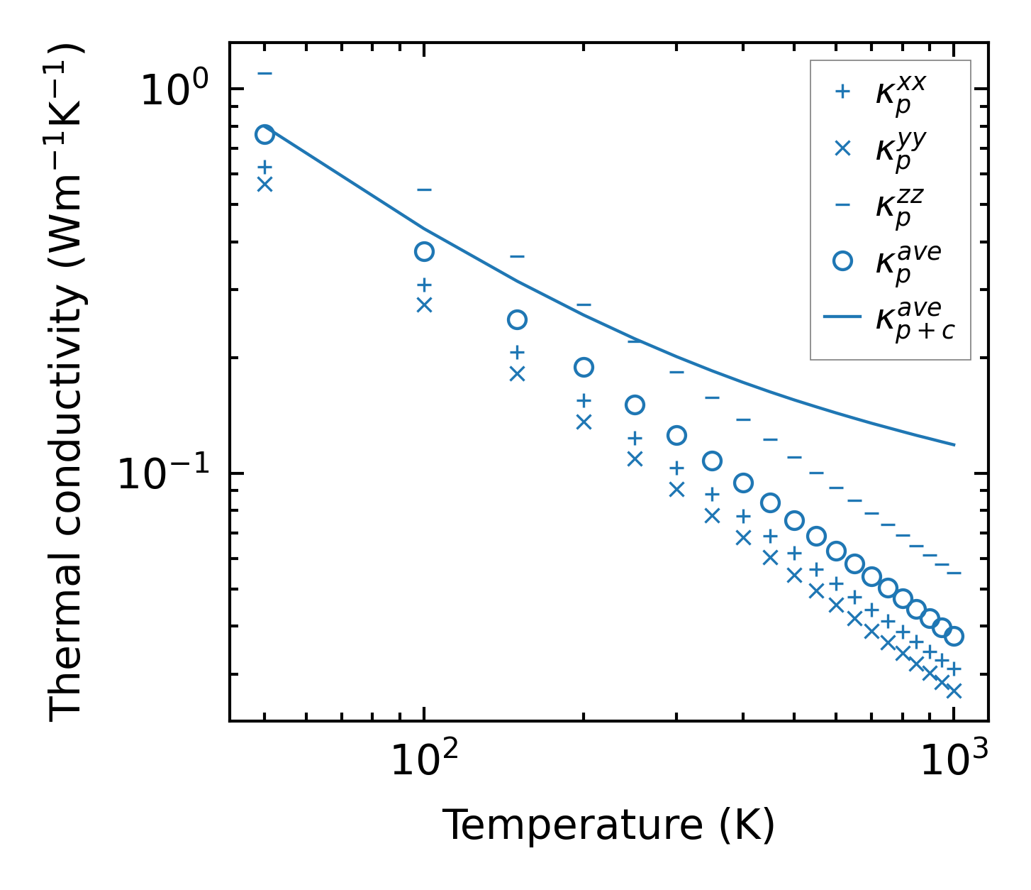
Thermal conductivity

3-phonon (LASSO) — q-mesh: 7x3x15, supercell: 2x1x3

../../_images/fig_kappa8947.png

(a) Temperature-dependent lattice thermal conductivity

../../_images/fig_kappa_vs_grain_size4799.png

(b) Peierls lattice thermal conductivity w.r.t grain size

Phonon lifetime and scattering rates

../../_images/fig_lifetime4696.png

(a) Phonon lifetime due to phonon-phonon scattering

../../_images/fig_scat_rates4695.png

(b) Phonon scattering rates

Cumulative and spectral thermal conductivity

../../_images/fig_cumu_frequency4696.png

(a) Spectral and cumulative thermal conductivity w.r.t frequency

../../_images/fig_cumu_mfp4695.png

(b) Spectral and cumulative thermal conductivity w.r.t MFP

Force constants

../../_images/fig_fc211159.png

(a) Force constants w.r.t atomic distance

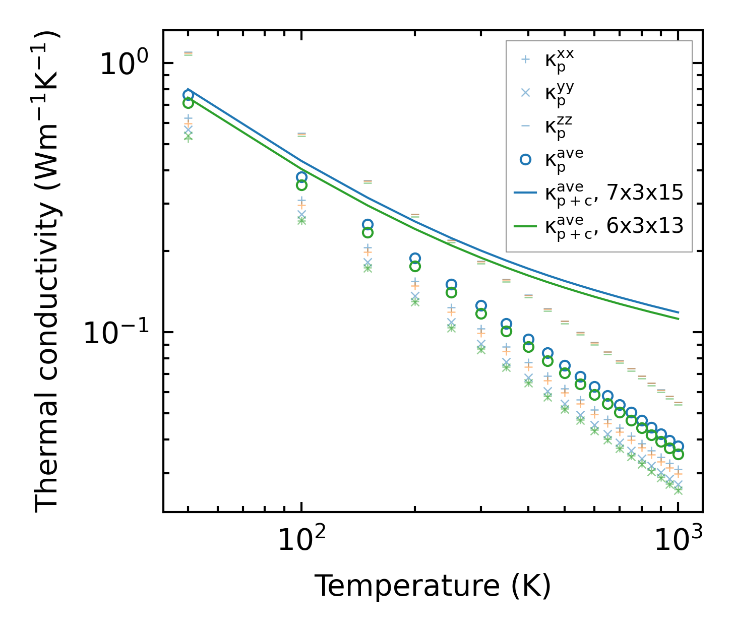
Summary

../../_images/fig_kappa8948.png

(a) Temperature-dependent lattice thermal conductivity

../../_images/fig_times19506.png

(b) Computation time