mp-29145/H3N/anharm

Equation of state

../../_images/fig_bm5573.png

(a) Equation of state

Harmonic properties

../../_images/fig_bandos_pr11410.png

(a) Phonon dispersion with participation ratio and DOS

../../_images/fig_bandos15401.png

(b) Phonon dispersion and DOS

../../_images/fig_thermo11410.png

(c) Thermodynamic properties

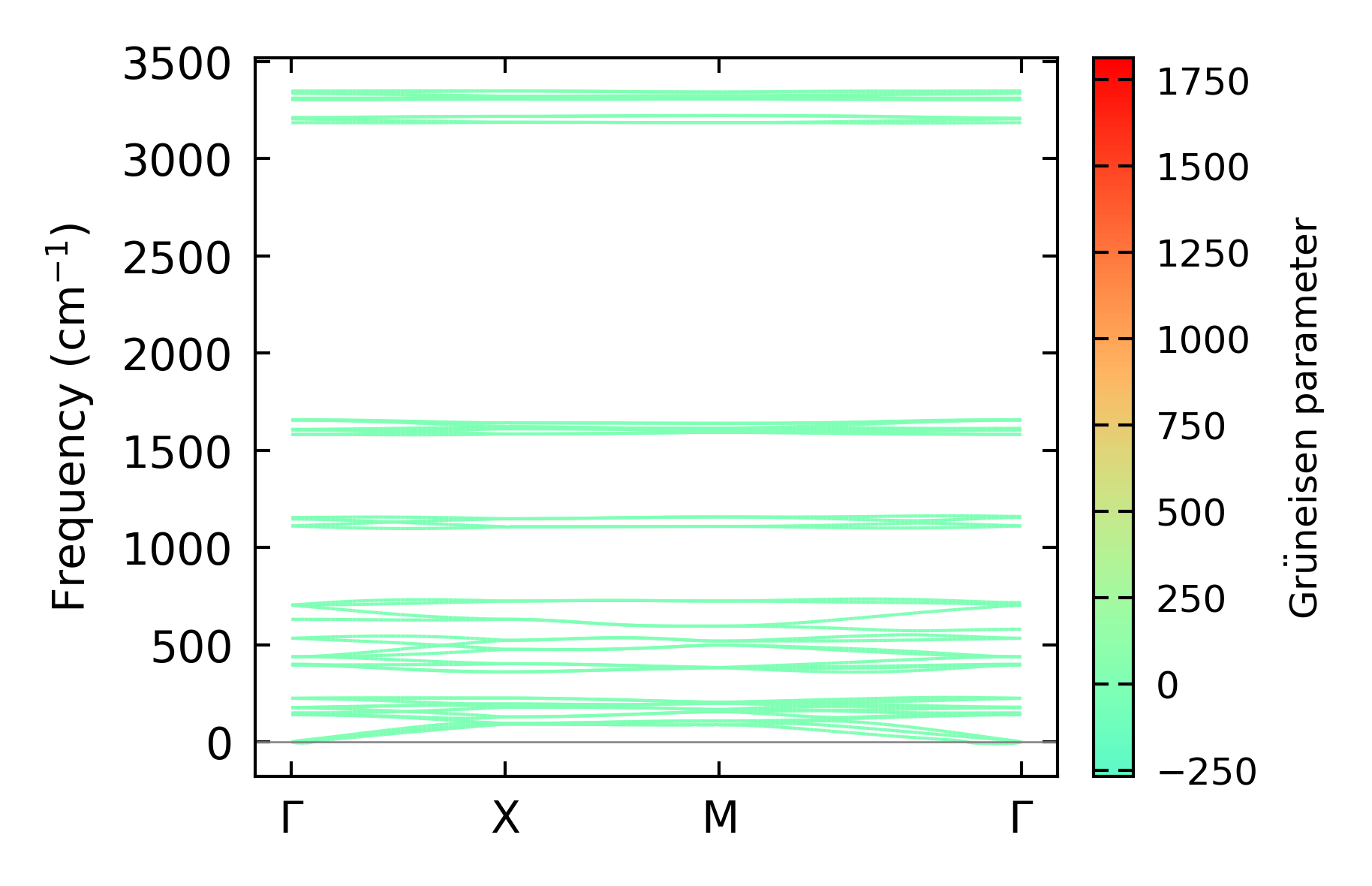
Grüneisen parameters

../../_images/fig_gru_all4728.png

(a) Grüneisen parameters

../../_images/fig_gruneisen4728.png

(b) Phonon dispersion with Grüneisen parameters

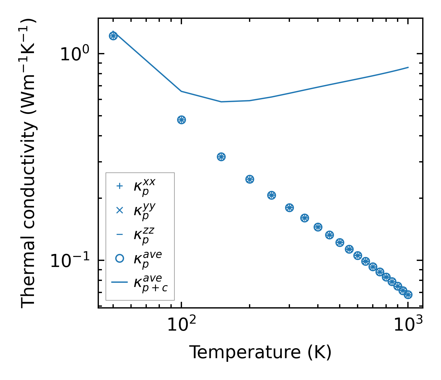
Thermal conductivity

3-phonon (LASSO), supercell 3x3x3 — q-mesh: 14x14x14, supercell: 3x3x3

../../_images/fig_kappa8922.png

(a) Temperature-dependent lattice thermal conductivity

../../_images/fig_kappa_vs_grain_size4786.png

(b) Peierls lattice thermal conductivity w.r.t grain size

Phonon lifetime and scattering rates

../../_images/fig_lifetime4683.png

(a) Phonon lifetime due to phonon-phonon scattering

../../_images/fig_scat_rates4682.png

(b) Phonon scattering rates

Cumulative and spectral thermal conductivity

../../_images/fig_cumu_frequency4683.png

(a) Spectral and cumulative thermal conductivity w.r.t frequency

../../_images/fig_cumu_mfp4682.png

(b) Spectral and cumulative thermal conductivity w.r.t MFP

Force constants

../../_images/fig_fc211126.png

(a) Force constants w.r.t atomic distance

Summary

../../_images/fig_times19460.png

(a) Computation time