mp-29416/Pr5C2Br9/anharm

Equation of state

../../_images/fig_bm5472.png

(a) Equation of state

Harmonic properties

../../_images/fig_bandos_pr11195.png

(a) Phonon dispersion with participation ratio and DOS

../../_images/fig_thermo11195.png

(b) Thermodynamic properties

Grüneisen parameters

../../_images/fig_gru_all4620.png

(a) Grüneisen parameters

../../_images/fig_gruneisen4620.png

(b) Phonon dispersion with Grüneisen parameters

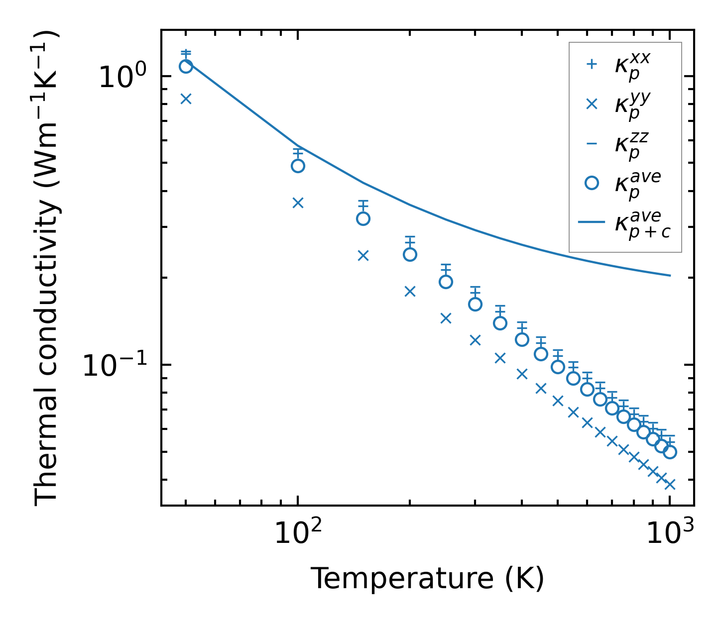
Thermal conductivity

3-phonon (LASSO) — q-mesh: 7x4x6, supercell: 2x1x1

../../_images/fig_kappa8720.png

(a) Temperature-dependent lattice thermal conductivity

../../_images/fig_kappa_vs_grain_size4677.png

(b) Peierls lattice thermal conductivity w.r.t grain size

Phonon lifetime and scattering rates

../../_images/fig_lifetime4576.png

(a) Phonon lifetime due to phonon-phonon scattering

../../_images/fig_scat_rates4575.png

(b) Phonon scattering rates

Cumulative and spectral thermal conductivity

../../_images/fig_cumu_frequency4576.png

(a) Spectral and cumulative thermal conductivity w.r.t frequency

../../_images/fig_cumu_mfp4575.png

(b) Spectral and cumulative thermal conductivity w.r.t MFP

Force constants

../../_images/fig_fc210911.png

(a) Force constants w.r.t atomic distance

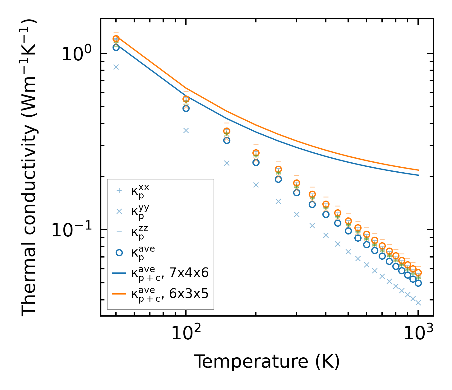
Summary

../../_images/fig_kappa8721.png

(a) Temperature-dependent lattice thermal conductivity

../../_images/fig_times19125.png

(b) Computation time