mp-29557-3/CuW3Cl7/anharm

Harmonic properties

../../_images/fig_bandos_pr11249.png

(a) Phonon dispersion with participation ratio and DOS

../../_images/fig_thermo11249.png

(b) Thermodynamic properties

Grüneisen parameters

../../_images/fig_gru_all4649.png

(a) Grüneisen parameters

../../_images/fig_gruneisen4649.png

(b) Phonon dispersion with Grüneisen parameters

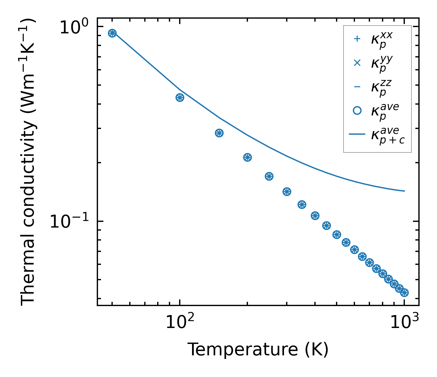
Thermal conductivity

3-phonon (LASSO) — q-mesh: 5x5x5, supercell: 1x1x1

../../_images/fig_kappa8775.png

(a) Temperature-dependent lattice thermal conductivity

../../_images/fig_kappa_vs_grain_size4706.png

(b) Peierls lattice thermal conductivity w.r.t grain size

Phonon lifetime and scattering rates

../../_images/fig_lifetime4605.png

(a) Phonon lifetime due to phonon-phonon scattering

../../_images/fig_scat_rates4604.png

(b) Phonon scattering rates

Cumulative and spectral thermal conductivity

../../_images/fig_cumu_frequency4605.png

(a) Spectral and cumulative thermal conductivity w.r.t frequency

../../_images/fig_cumu_mfp4604.png

(b) Spectral and cumulative thermal conductivity w.r.t MFP

Force constants

../../_images/fig_fc210965.png

(a) Force constants w.r.t atomic distance

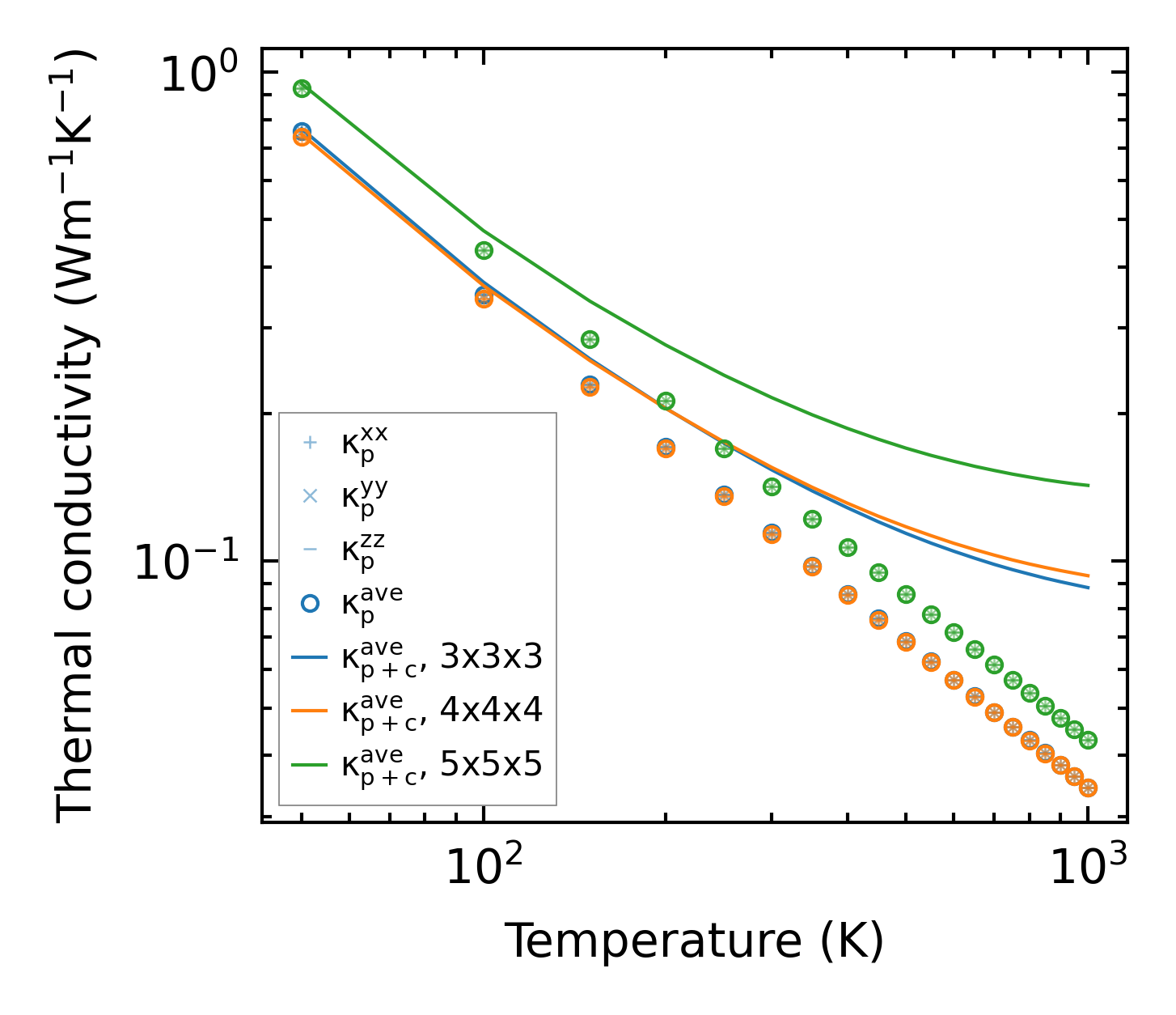
Summary

../../_images/fig_kappa8776.png

(a) Temperature-dependent lattice thermal conductivity

../../_images/fig_times19206.png

(b) Computation time