mp-29692-2/K2TeS3/anharm

Equation of state

../../_images/fig_bm5508.png

(a) Equation of state

Harmonic properties

../../_images/fig_bandos_pr11281.png

(a) Phonon dispersion with participation ratio and DOS

../../_images/fig_bandos15255.png

(b) Phonon dispersion and DOS

../../_images/fig_thermo11281.png

(c) Thermodynamic properties

Grüneisen parameters

../../_images/fig_gru_all4665.png

(a) Grüneisen parameters

../../_images/fig_gruneisen4665.png

(b) Phonon dispersion with Grüneisen parameters

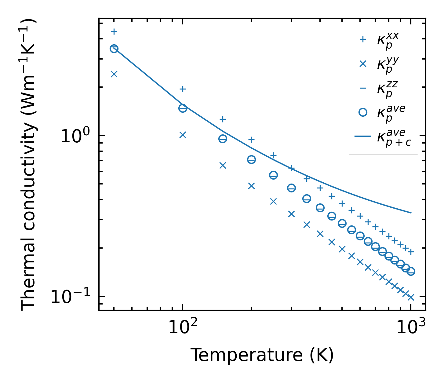
Thermal conductivity

3-phonon (LASSO), supercell 3x2x2 — q-mesh: 11x8x5, supercell: 3x2x2

../../_images/fig_kappa8805.png

(a) Temperature-dependent lattice thermal conductivity

../../_images/fig_kappa_vs_grain_size4722.png

(b) Peierls lattice thermal conductivity w.r.t grain size

Phonon lifetime and scattering rates

../../_images/fig_lifetime4621.png

(a) Phonon lifetime due to phonon-phonon scattering

../../_images/fig_scat_rates4620.png

(b) Phonon scattering rates

Cumulative and spectral thermal conductivity

../../_images/fig_cumu_frequency4621.png

(a) Spectral and cumulative thermal conductivity w.r.t frequency

../../_images/fig_cumu_mfp4620.png

(b) Spectral and cumulative thermal conductivity w.r.t MFP

Force constants

../../_images/fig_fc210997.png

(a) Force constants w.r.t atomic distance

Summary

../../_images/fig_times19262.png

(a) Computation time