mp-29222/Ba2Si3O8/anharm

Harmonic properties

../../_images/fig_bandos_pr11447.png

(a) Phonon dispersion with participation ratio and DOS

../../_images/fig_thermo11447.png

(b) Thermodynamic properties

Grüneisen parameters

../../_images/fig_gru_all4743.png

(a) Grüneisen parameters

../../_images/fig_gruneisen4743.png

(b) Phonon dispersion with Grüneisen parameters

Thermal conductivity

3-phonon (LASSO) — q-mesh: 5x15x5, supercell: 1x2x1

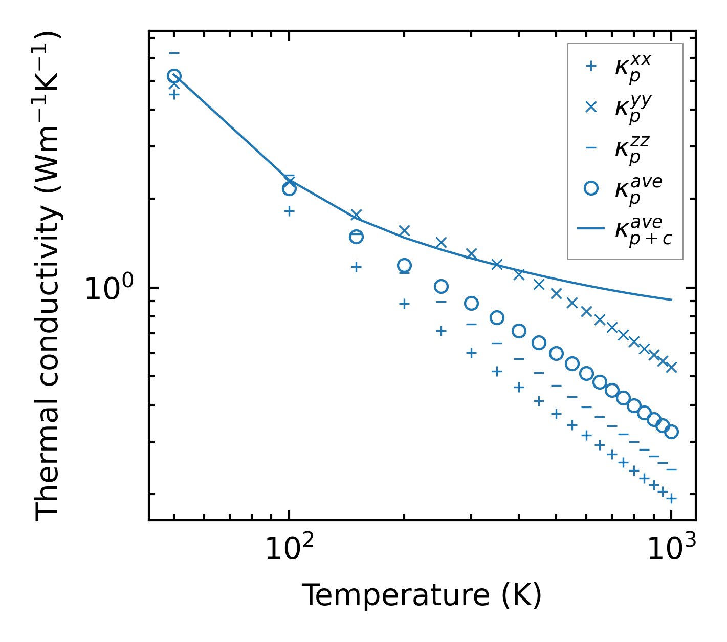
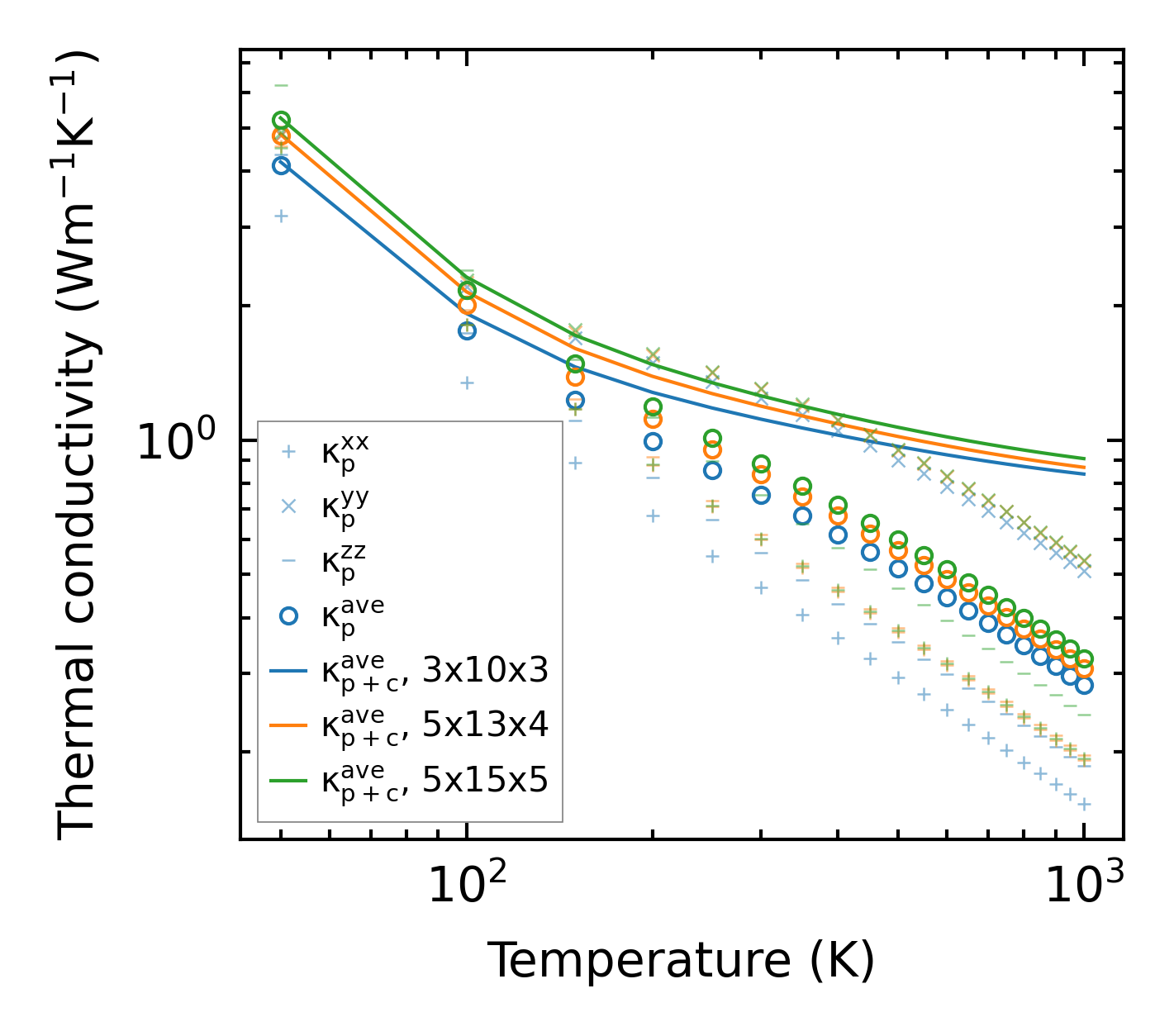
../../_images/fig_kappa8950.png

(a) Temperature-dependent lattice thermal conductivity

../../_images/fig_kappa_vs_grain_size4801.png

(b) Peierls lattice thermal conductivity w.r.t grain size

Phonon lifetime and scattering rates

../../_images/fig_lifetime4698.png

(a) Phonon lifetime due to phonon-phonon scattering

../../_images/fig_scat_rates4697.png

(b) Phonon scattering rates

Cumulative and spectral thermal conductivity

../../_images/fig_cumu_frequency4698.png

(a) Spectral and cumulative thermal conductivity w.r.t frequency

../../_images/fig_cumu_mfp4697.png

(b) Spectral and cumulative thermal conductivity w.r.t MFP

Force constants

../../_images/fig_fc211163.png

(a) Force constants w.r.t atomic distance

Summary

../../_images/fig_kappa8951.png

(a) Temperature-dependent lattice thermal conductivity

../../_images/fig_times19516.png

(b) Computation time