mp-29487/PdCl2/anharm

Harmonic properties

../../_images/fig_bandos_pr11220.png

(a) Phonon dispersion with participation ratio and DOS

../../_images/fig_thermo11220.png

(b) Thermodynamic properties

Grüneisen parameters

../../_images/fig_gru_all4638.png

(a) Grüneisen parameters

../../_images/fig_gruneisen4638.png

(b) Phonon dispersion with Grüneisen parameters

Thermal conductivity

3-phonon (LASSO) — q-mesh: 9x9x9, supercell: 1x1x2

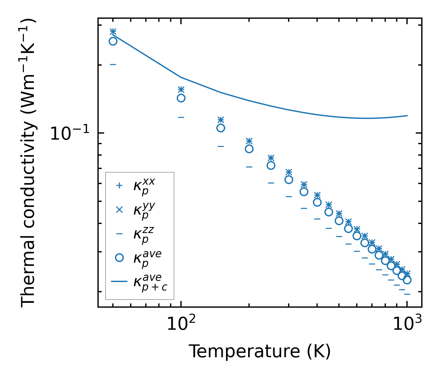
../../_images/fig_kappa8753.png

(a) Temperature-dependent lattice thermal conductivity

../../_images/fig_kappa_vs_grain_size4695.png

(b) Peierls lattice thermal conductivity w.r.t grain size

Phonon lifetime and scattering rates

../../_images/fig_lifetime4594.png

(a) Phonon lifetime due to phonon-phonon scattering

../../_images/fig_scat_rates4593.png

(b) Phonon scattering rates

Cumulative and spectral thermal conductivity

../../_images/fig_cumu_frequency4594.png

(a) Spectral and cumulative thermal conductivity w.r.t frequency

../../_images/fig_cumu_mfp4593.png

(b) Spectral and cumulative thermal conductivity w.r.t MFP

Force constants

../../_images/fig_fc210936.png

(a) Force constants w.r.t atomic distance

Summary

../../_images/fig_kappa8754.png

(a) Temperature-dependent lattice thermal conductivity

../../_images/fig_times19162.png

(b) Computation time