mp-29976/Na3BS3/anharm

Harmonic properties

../../_images/fig_bandos_pr11050.png

(a) Phonon dispersion with participation ratio and DOS

../../_images/fig_thermo11050.png

(b) Thermodynamic properties

Grüneisen parameters

../../_images/fig_gru_all4540.png

(a) Grüneisen parameters

../../_images/fig_gruneisen4540.png

(b) Phonon dispersion with Grüneisen parameters

Thermal conductivity

3-phonon (LASSO) — q-mesh: 11x11x9, supercell: 1x2x2

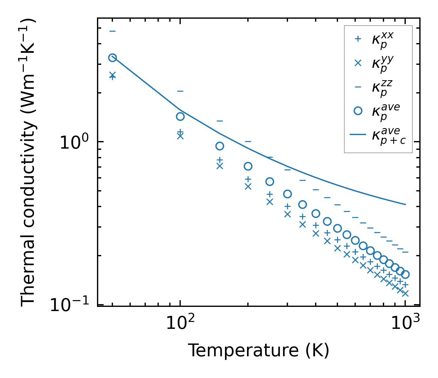
../../_images/fig_kappa8565.png

(a) Temperature-dependent lattice thermal conductivity

../../_images/fig_kappa_vs_grain_size4595.png

(b) Peierls lattice thermal conductivity w.r.t grain size

Phonon lifetime and scattering rates

../../_images/fig_lifetime4496.png

(a) Phonon lifetime due to phonon-phonon scattering

../../_images/fig_scat_rates4495.png

(b) Phonon scattering rates

Cumulative and spectral thermal conductivity

../../_images/fig_cumu_frequency4496.png

(a) Spectral and cumulative thermal conductivity w.r.t frequency

../../_images/fig_cumu_mfp4495.png

(b) Spectral and cumulative thermal conductivity w.r.t MFP

Force constants

../../_images/fig_fc210774.png

(a) Force constants w.r.t atomic distance

Summary

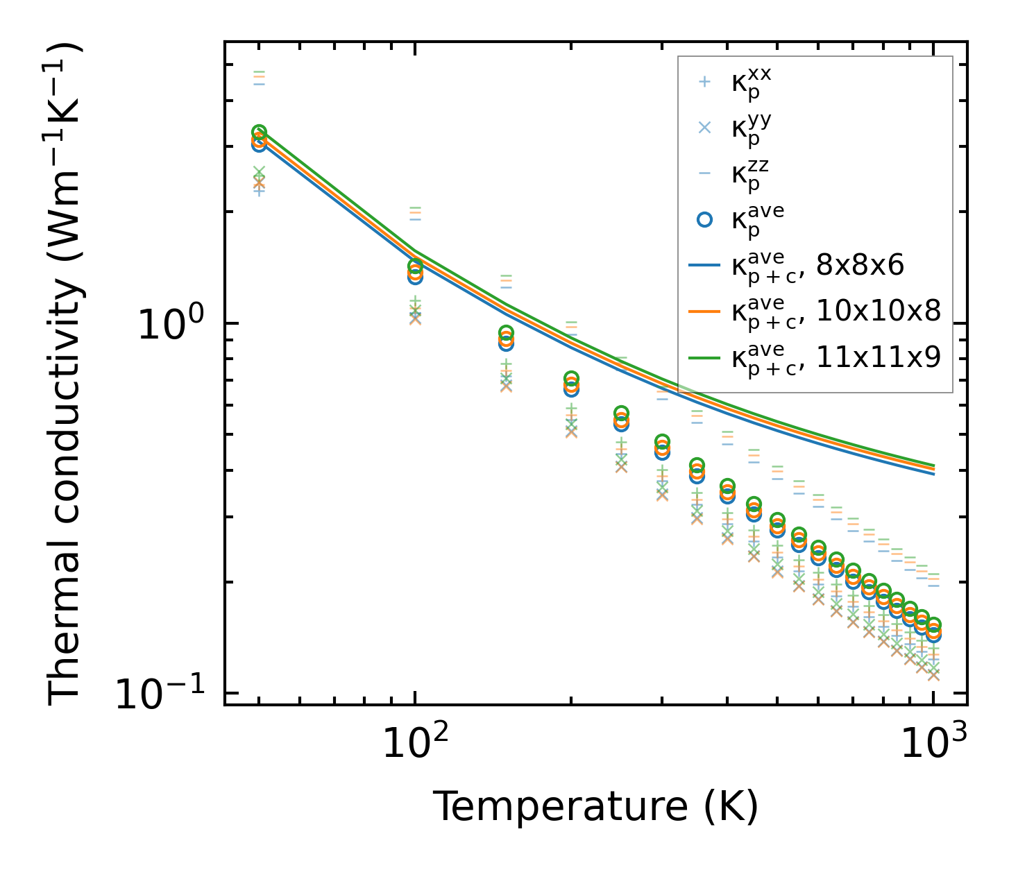
../../_images/fig_kappa8566.png

(a) Temperature-dependent lattice thermal conductivity

../../_images/fig_times18874.png

(b) Computation time