mp-29386-2/K6Sn2Se7/anharm

Equation of state

../../_images/fig_bm5464.png

(a) Equation of state

Harmonic properties

../../_images/fig_bandos_pr11177.png

(a) Phonon dispersion with participation ratio and DOS

../../_images/fig_bandos15142.png

(b) Phonon dispersion and DOS

../../_images/fig_thermo11177.png

(c) Thermodynamic properties

Grüneisen parameters

../../_images/fig_gru_all4609.png

(a) Grüneisen parameters

../../_images/fig_gruneisen4609.png

(b) Phonon dispersion with Grüneisen parameters

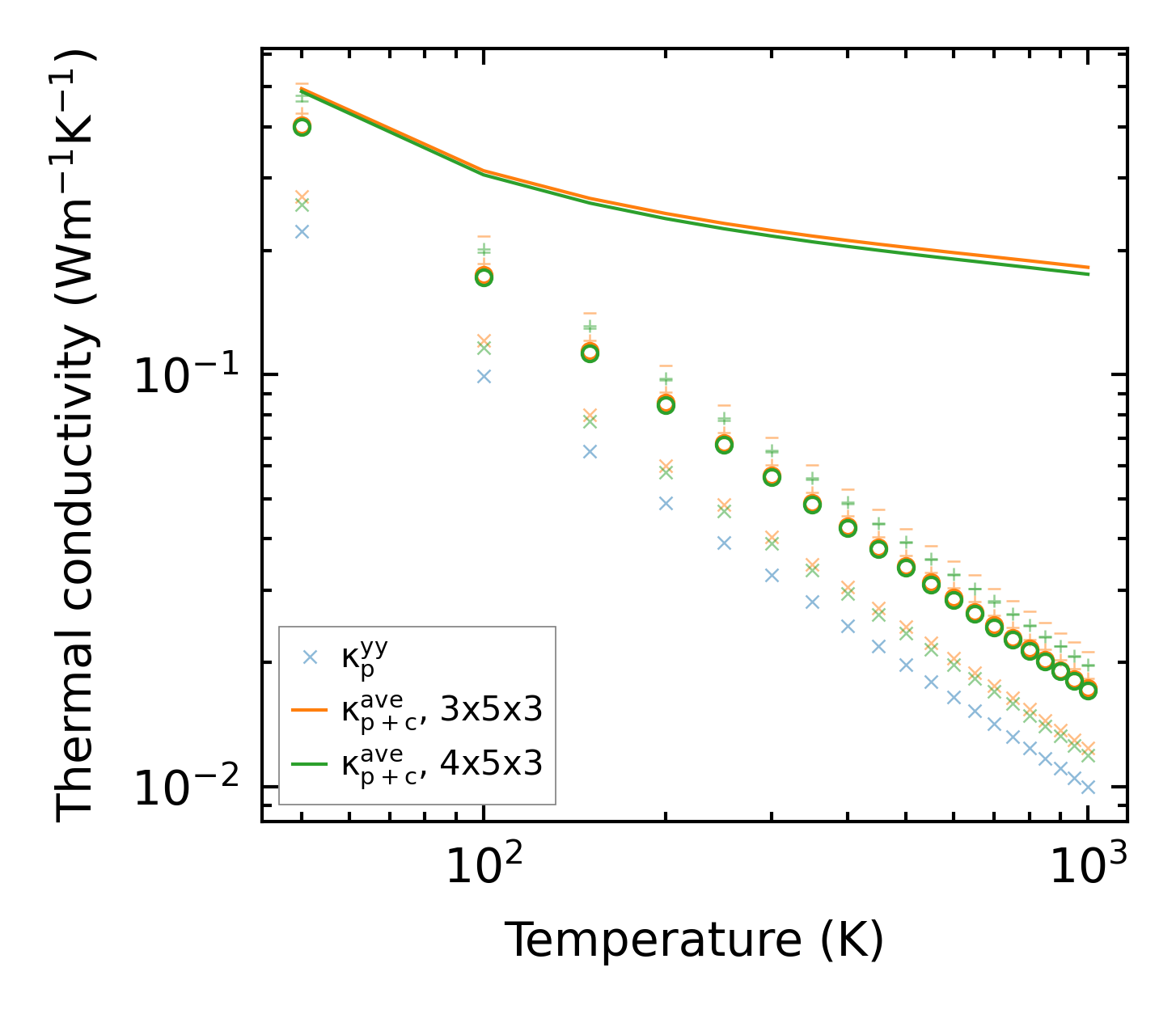
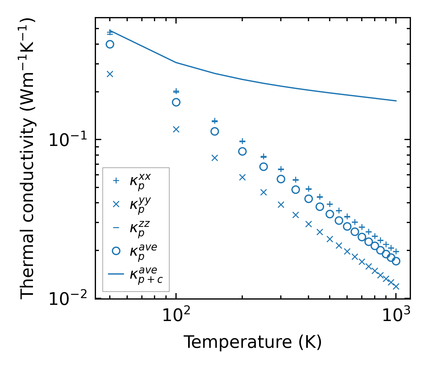
Thermal conductivity

3-phonon (LASSO) — q-mesh: 4x5x3, supercell: 1x1x1

../../_images/fig_kappa8700.png

(a) Temperature-dependent lattice thermal conductivity

../../_images/fig_kappa_vs_grain_size4666.png

(b) Peierls lattice thermal conductivity w.r.t grain size

Phonon lifetime and scattering rates

../../_images/fig_lifetime4565.png

(a) Phonon lifetime due to phonon-phonon scattering

../../_images/fig_scat_rates4564.png

(b) Phonon scattering rates

Cumulative and spectral thermal conductivity

../../_images/fig_cumu_frequency4565.png

(a) Spectral and cumulative thermal conductivity w.r.t frequency

../../_images/fig_cumu_mfp4564.png

(b) Spectral and cumulative thermal conductivity w.r.t MFP

Force constants

../../_images/fig_fc210894.png

(a) Force constants w.r.t atomic distance

Summary

../../_images/fig_kappa8701.png

(a) Temperature-dependent lattice thermal conductivity

../../_images/fig_times19101.png

(b) Computation time