mp-29284-2/Ca2Sb2S5/anharm

Equation of state

../../_images/fig_bm5605.png

(a) Equation of state

Harmonic properties

../../_images/fig_bandos_pr11474.png

(a) Phonon dispersion with participation ratio and DOS

../../_images/fig_thermo11474.png

(b) Thermodynamic properties

Grüneisen parameters

../../_images/fig_gru_all4757.png

(a) Grüneisen parameters

../../_images/fig_gruneisen4757.png

(b) Phonon dispersion with Grüneisen parameters

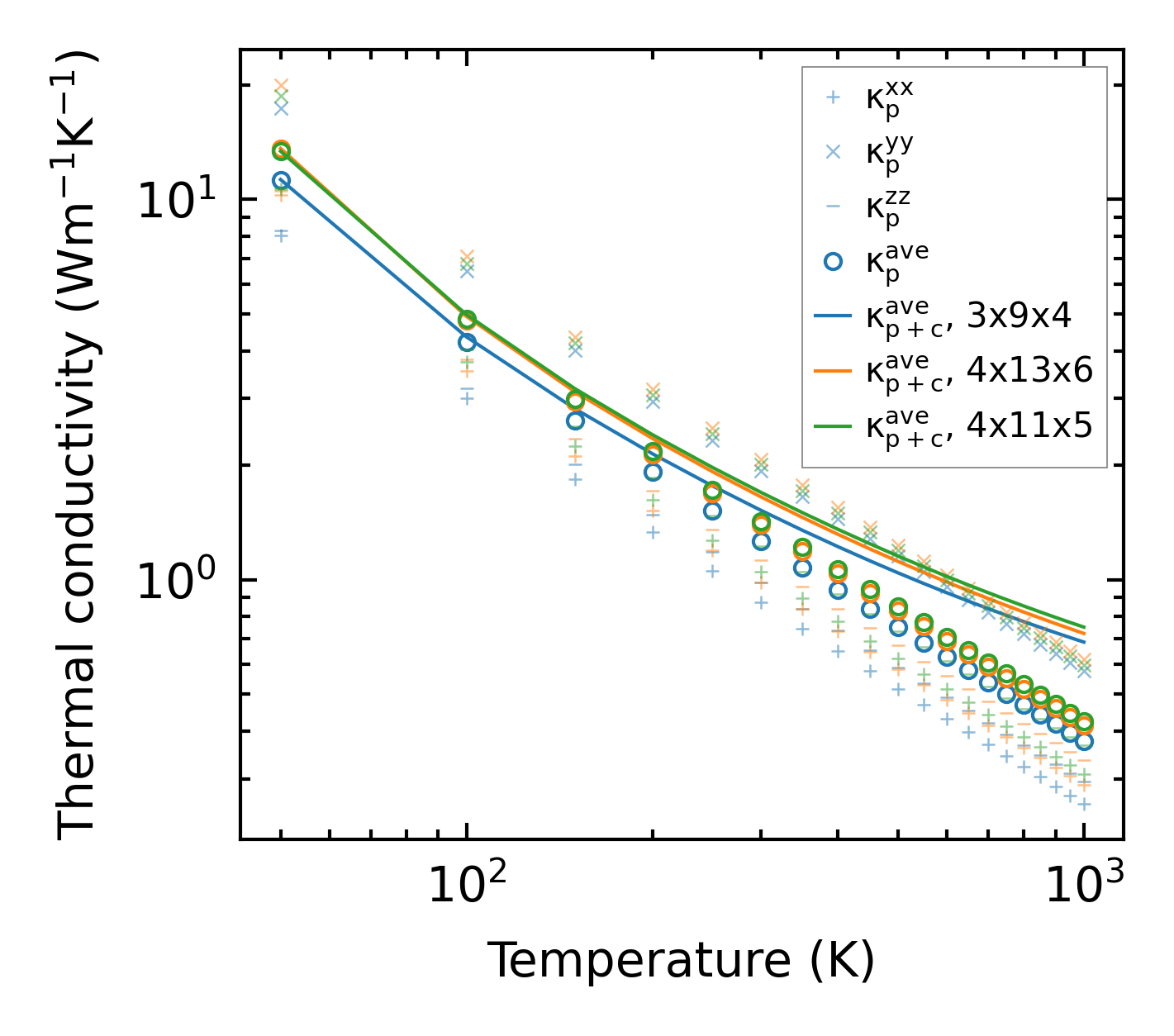
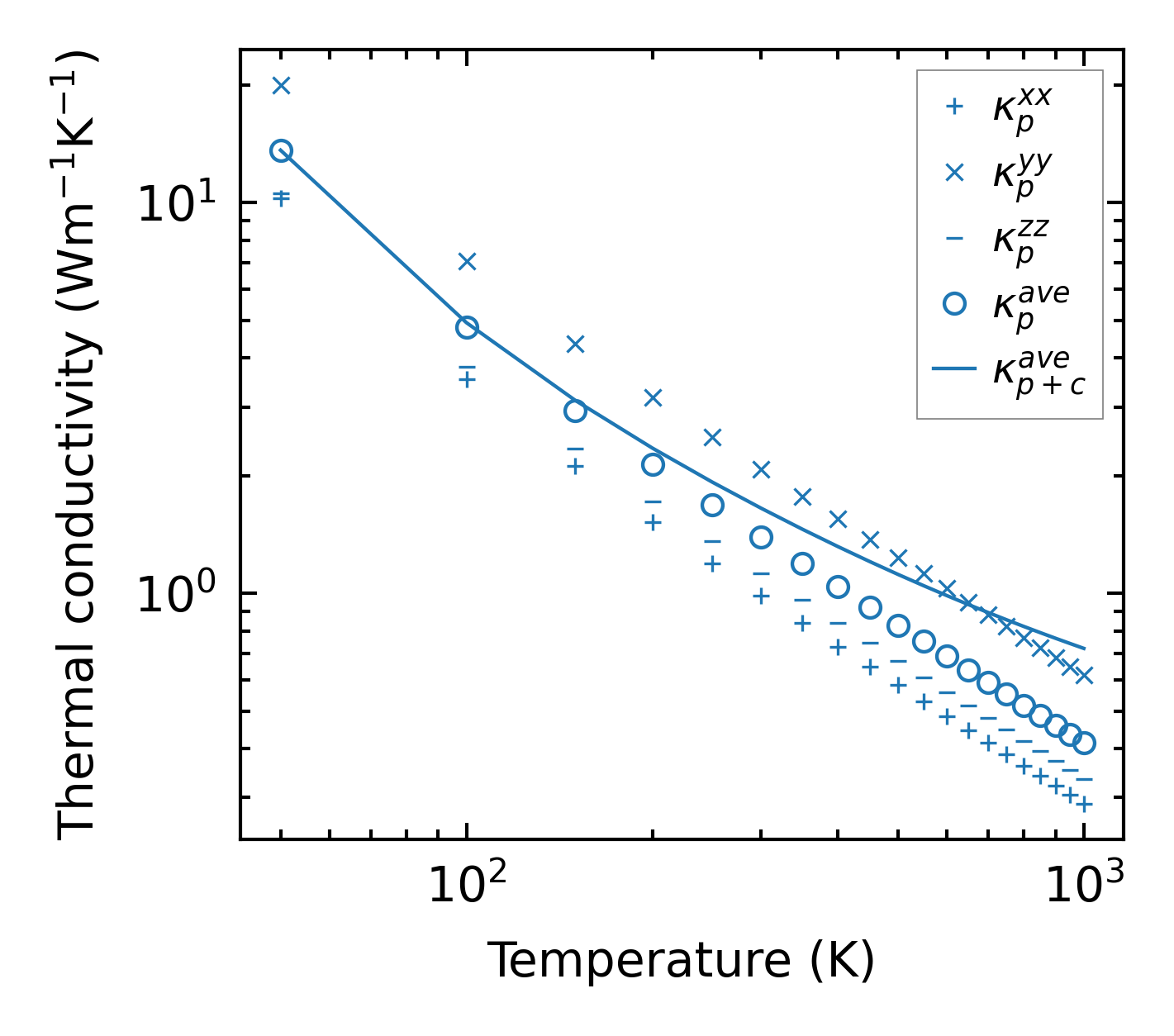
Thermal conductivity

3-phonon (LASSO) — q-mesh: 4x13x6, supercell: 1x2x2

../../_images/fig_kappa8979.png

(a) Temperature-dependent lattice thermal conductivity

../../_images/fig_kappa_vs_grain_size4816.png

(b) Peierls lattice thermal conductivity w.r.t grain size

Phonon lifetime and scattering rates

../../_images/fig_lifetime4712.png

(a) Phonon lifetime due to phonon-phonon scattering

../../_images/fig_scat_rates4711.png

(b) Phonon scattering rates

Cumulative and spectral thermal conductivity

../../_images/fig_cumu_frequency4712.png

(a) Spectral and cumulative thermal conductivity w.r.t frequency

../../_images/fig_cumu_mfp4711.png

(b) Spectral and cumulative thermal conductivity w.r.t MFP

Force constants

../../_images/fig_fc211189.png

(a) Force constants w.r.t atomic distance

Summary

../../_images/fig_kappa8980.png

(a) Temperature-dependent lattice thermal conductivity

../../_images/fig_times19558.png

(b) Computation time