mp-29983/Cs6Cl4O/anharm

Harmonic properties

../../_images/fig_bandos_pr11055.png

(a) Phonon dispersion with participation ratio and DOS

../../_images/fig_thermo11055.png

(b) Thermodynamic properties

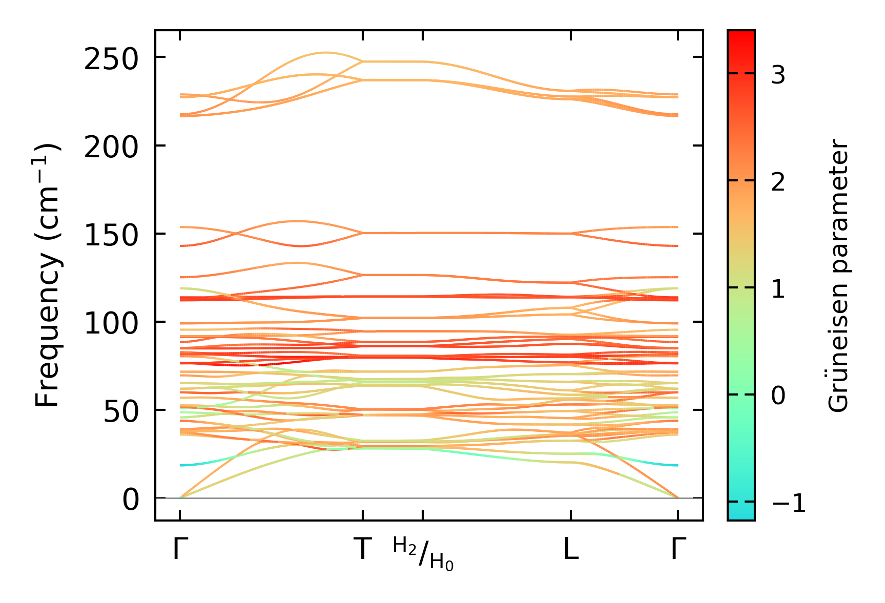
Grüneisen parameters

../../_images/fig_gru_all4543.png

(a) Grüneisen parameters

../../_images/fig_gruneisen4543.png

(b) Phonon dispersion with Grüneisen parameters

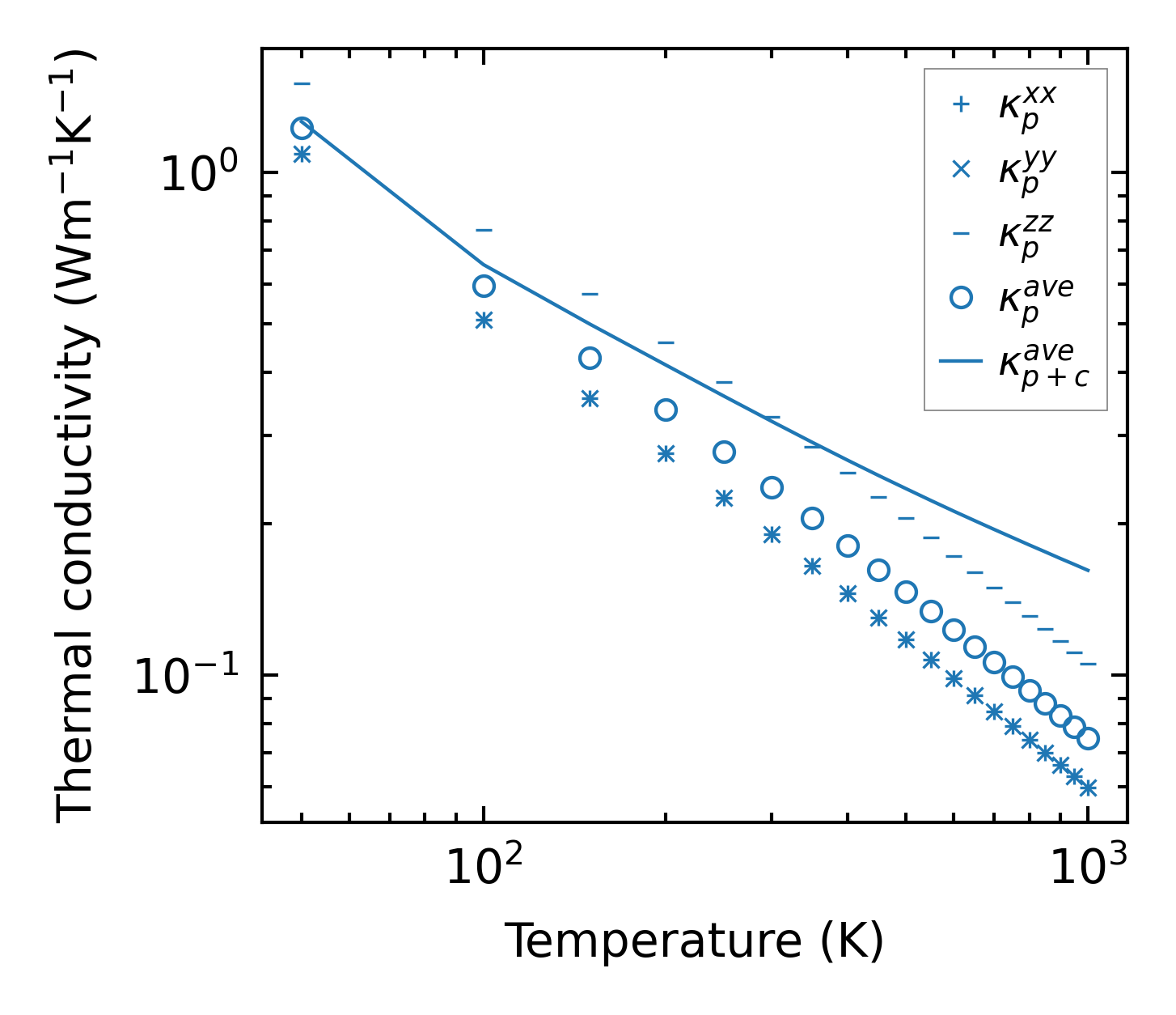
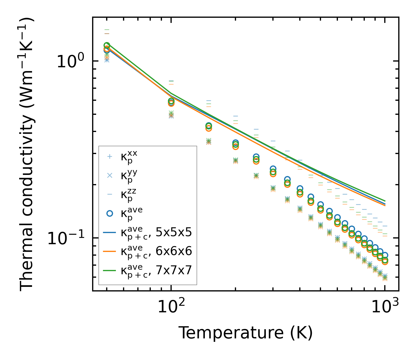
Thermal conductivity

3-phonon (LASSO) — q-mesh: 7x7x7, supercell: 1x1x1

../../_images/fig_kappa8571.png

(a) Temperature-dependent lattice thermal conductivity

../../_images/fig_kappa_vs_grain_size4598.png

(b) Peierls lattice thermal conductivity w.r.t grain size

Phonon lifetime and scattering rates

../../_images/fig_lifetime4499.png

(a) Phonon lifetime due to phonon-phonon scattering

../../_images/fig_scat_rates4498.png

(b) Phonon scattering rates

Cumulative and spectral thermal conductivity

../../_images/fig_cumu_frequency4499.png

(a) Spectral and cumulative thermal conductivity w.r.t frequency

../../_images/fig_cumu_mfp4498.png

(b) Spectral and cumulative thermal conductivity w.r.t MFP

Force constants

../../_images/fig_fc210779.png

(a) Force constants w.r.t atomic distance

Summary

../../_images/fig_kappa8572.png

(a) Temperature-dependent lattice thermal conductivity

../../_images/fig_times18879.png

(b) Computation time