mp-29405-2/RbSnI3/anharm

Equation of state

../../_images/fig_bm5468.png

(a) Equation of state

Harmonic properties

../../_images/fig_bandos_pr11185.png

(a) Phonon dispersion with participation ratio and DOS

../../_images/fig_bandos15152.png

(b) Phonon dispersion and DOS

../../_images/fig_thermo11185.png

(c) Thermodynamic properties

Grüneisen parameters

../../_images/fig_gru_all4614.png

(a) Grüneisen parameters

../../_images/fig_gruneisen4614.png

(b) Phonon dispersion with Grüneisen parameters

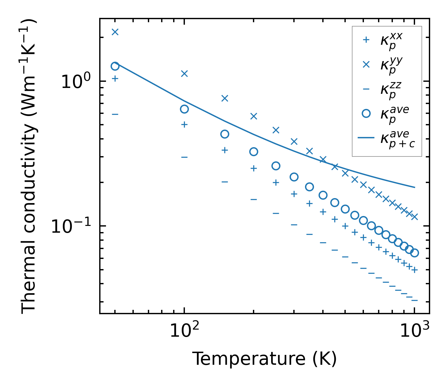
Thermal conductivity

3-phonon (LASSO), supercell 2x4x1 — q-mesh: 7x15x4, supercell: 2x4x1

../../_images/fig_kappa8709.png

(a) Temperature-dependent lattice thermal conductivity

../../_images/fig_kappa_vs_grain_size4671.png

(b) Peierls lattice thermal conductivity w.r.t grain size

Phonon lifetime and scattering rates

../../_images/fig_lifetime4570.png

(a) Phonon lifetime due to phonon-phonon scattering

../../_images/fig_scat_rates4569.png

(b) Phonon scattering rates

Cumulative and spectral thermal conductivity

../../_images/fig_cumu_frequency4570.png

(a) Spectral and cumulative thermal conductivity w.r.t frequency

../../_images/fig_cumu_mfp4569.png

(b) Spectral and cumulative thermal conductivity w.r.t MFP

Force constants

../../_images/fig_fc210901.png

(a) Force constants w.r.t atomic distance

Summary

../../_images/fig_times19114.png

(a) Computation time