mp-29888-2/ErCl3O12/anharm

Equation of state

../../_images/fig_bm5428.png

(a) Equation of state

Harmonic properties

../../_images/fig_bandos_pr11026.png

(a) Phonon dispersion with participation ratio and DOS

../../_images/fig_bandos14945.png

(b) Phonon dispersion and DOS

../../_images/fig_thermo11026.png

(c) Thermodynamic properties

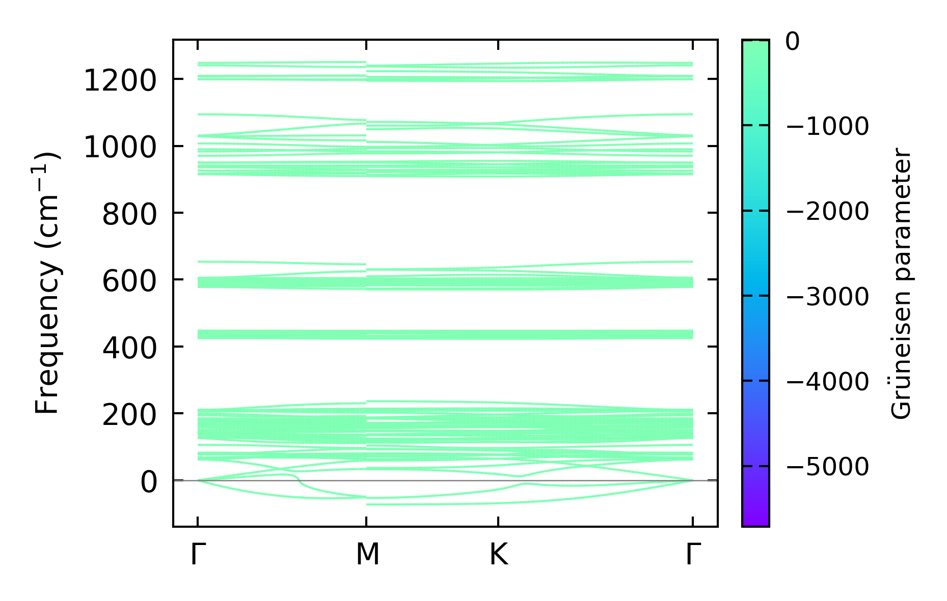
Grüneisen parameters

../../_images/fig_gru_all4527.png

(a) Grüneisen parameters

../../_images/fig_gruneisen4527.png

(b) Phonon dispersion with Grüneisen parameters

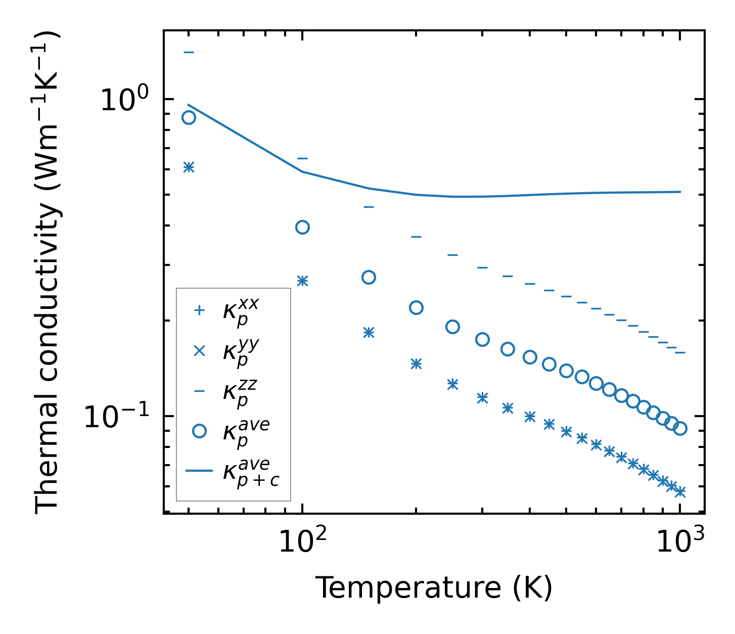
Thermal conductivity

3-phonon (LASSO), supercell 2x2x2 — q-mesh: 8x8x13, supercell: 2x2x2

../../_images/fig_kappa8545.png

(a) Temperature-dependent lattice thermal conductivity

../../_images/fig_kappa_vs_grain_size4582.png

(b) Peierls lattice thermal conductivity w.r.t grain size

Phonon lifetime and scattering rates

../../_images/fig_lifetime4483.png

(a) Phonon lifetime due to phonon-phonon scattering

../../_images/fig_scat_rates4482.png

(b) Phonon scattering rates

Cumulative and spectral thermal conductivity

../../_images/fig_cumu_frequency4483.png

(a) Spectral and cumulative thermal conductivity w.r.t frequency

../../_images/fig_cumu_mfp4482.png

(b) Spectral and cumulative thermal conductivity w.r.t MFP

Force constants

../../_images/fig_fc210750.png

(a) Force constants w.r.t atomic distance

Summary

../../_images/fig_times18833.png

(a) Computation time