mp-29549-2/SiP4H8/anharm

Equation of state

../../_images/fig_bm5490.png

(a) Equation of state

Harmonic properties

../../_images/fig_bandos_pr11245.png

(a) Phonon dispersion with participation ratio and DOS

../../_images/fig_thermo11245.png

(b) Thermodynamic properties

Grüneisen parameters

../../_images/fig_gru_all4645.png

(a) Grüneisen parameters

../../_images/fig_gruneisen4645.png

(b) Phonon dispersion with Grüneisen parameters

Thermal conductivity

3-phonon (LASSO) — q-mesh: 7x10x6, supercell: 1x2x1

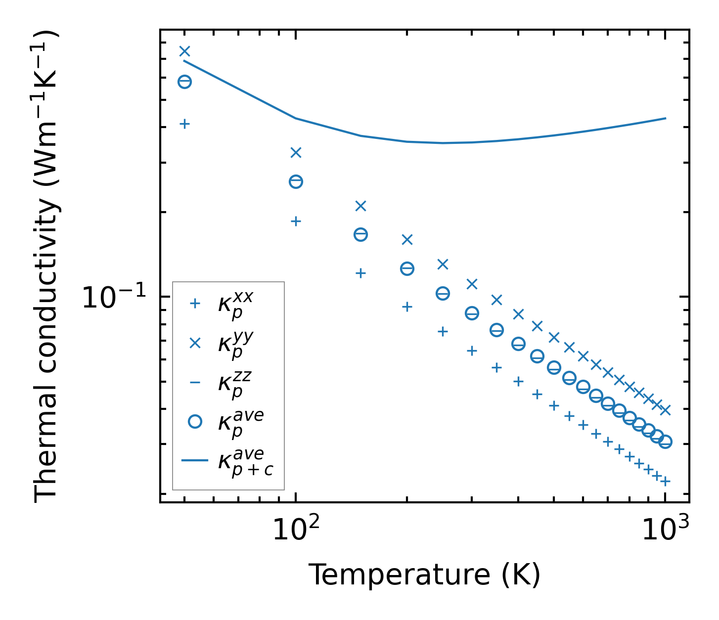
../../_images/fig_kappa8767.png

(a) Temperature-dependent lattice thermal conductivity

../../_images/fig_kappa_vs_grain_size4702.png

(b) Peierls lattice thermal conductivity w.r.t grain size

Phonon lifetime and scattering rates

../../_images/fig_lifetime4601.png

(a) Phonon lifetime due to phonon-phonon scattering

../../_images/fig_scat_rates4600.png

(b) Phonon scattering rates

Cumulative and spectral thermal conductivity

../../_images/fig_cumu_frequency4601.png

(a) Spectral and cumulative thermal conductivity w.r.t frequency

../../_images/fig_cumu_mfp4600.png

(b) Spectral and cumulative thermal conductivity w.r.t MFP

Force constants

../../_images/fig_fc210961.png

(a) Force constants w.r.t atomic distance

Summary

../../_images/fig_kappa8768.png

(a) Temperature-dependent lattice thermal conductivity

../../_images/fig_times19202.png

(b) Computation time