mp-29887-2/PrCl3O12/anharm

Equation of state

../../_images/fig_bm5427.png

(a) Equation of state

Harmonic properties

../../_images/fig_bandos_pr11024.png

(a) Phonon dispersion with participation ratio and DOS

../../_images/fig_bandos14943.png

(b) Phonon dispersion and DOS

../../_images/fig_thermo11024.png

(c) Thermodynamic properties

Grüneisen parameters

../../_images/fig_gru_all4526.png

(a) Grüneisen parameters

../../_images/fig_gruneisen4526.png

(b) Phonon dispersion with Grüneisen parameters

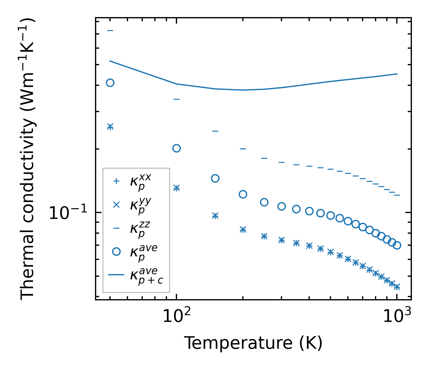
Thermal conductivity

3-phonon (LASSO), supercell 2x2x2 — q-mesh: 8x8x12, supercell: 2x2x2

../../_images/fig_kappa8544.png

(a) Temperature-dependent lattice thermal conductivity

../../_images/fig_kappa_vs_grain_size4581.png

(b) Peierls lattice thermal conductivity w.r.t grain size

Phonon lifetime and scattering rates

../../_images/fig_lifetime4482.png

(a) Phonon lifetime due to phonon-phonon scattering

../../_images/fig_scat_rates4481.png

(b) Phonon scattering rates

Cumulative and spectral thermal conductivity

../../_images/fig_cumu_frequency4482.png

(a) Spectral and cumulative thermal conductivity w.r.t frequency

../../_images/fig_cumu_mfp4481.png

(b) Spectral and cumulative thermal conductivity w.r.t MFP

Force constants

../../_images/fig_fc210748.png

(a) Force constants w.r.t atomic distance

Summary

../../_images/fig_times18831.png

(a) Computation time