mp-29947/K3PSe16/anharm

Harmonic properties

../../_images/fig_bandos_pr11045.png

(a) Phonon dispersion with participation ratio and DOS

../../_images/fig_thermo11045.png

(b) Thermodynamic properties

Grüneisen parameters

../../_images/fig_gru_all4538.png

(a) Grüneisen parameters

../../_images/fig_gruneisen4538.png

(b) Phonon dispersion with Grüneisen parameters

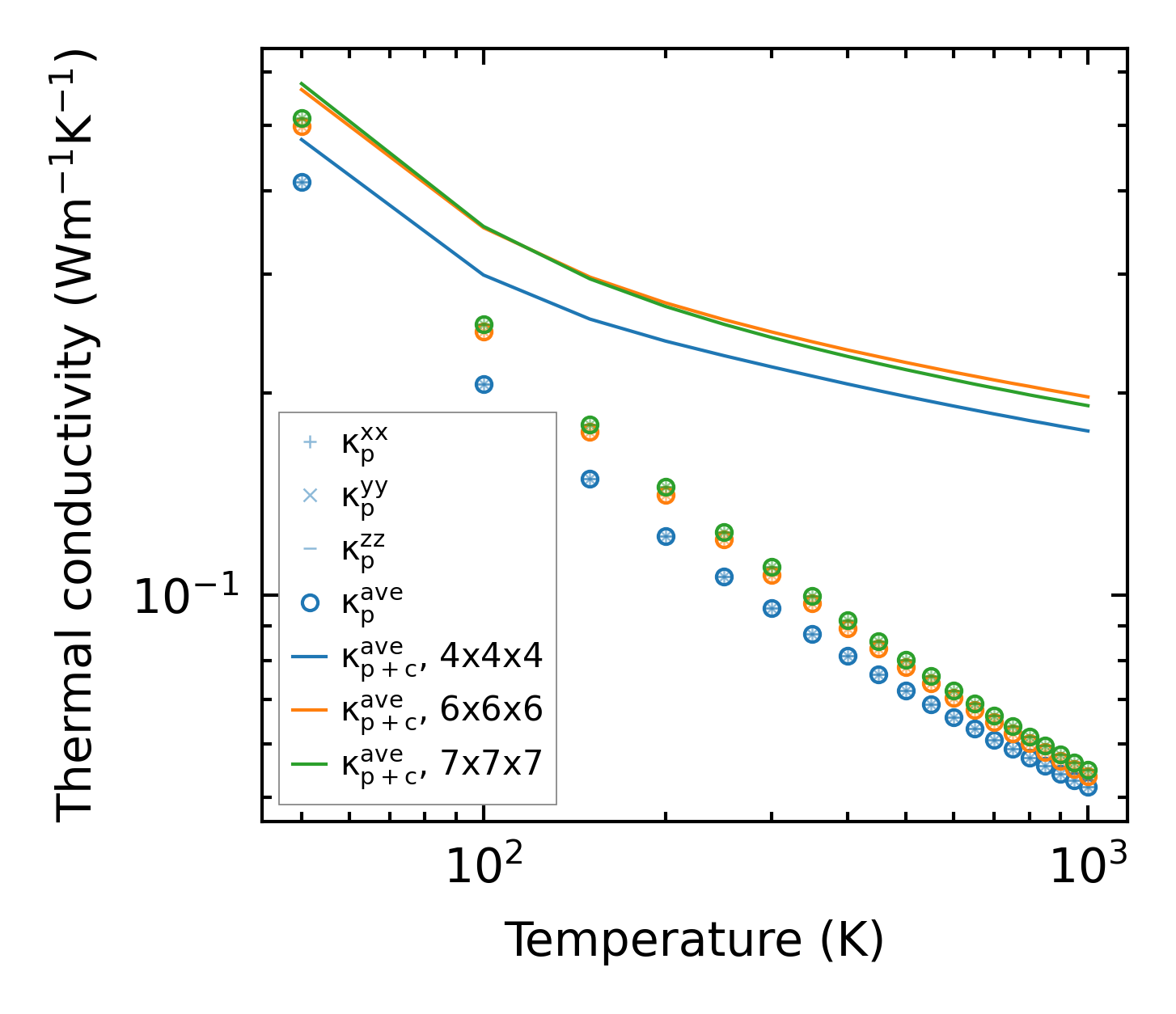
Thermal conductivity

3-phonon (LASSO) — q-mesh: 7x7x7, supercell: 1x1x1

../../_images/fig_kappa8562.png

(a) Temperature-dependent lattice thermal conductivity

../../_images/fig_kappa_vs_grain_size4593.png

(b) Peierls lattice thermal conductivity w.r.t grain size

Phonon lifetime and scattering rates

../../_images/fig_lifetime4494.png

(a) Phonon lifetime due to phonon-phonon scattering

../../_images/fig_scat_rates4493.png

(b) Phonon scattering rates

Cumulative and spectral thermal conductivity

../../_images/fig_cumu_frequency4494.png

(a) Spectral and cumulative thermal conductivity w.r.t frequency

../../_images/fig_cumu_mfp4493.png

(b) Spectral and cumulative thermal conductivity w.r.t MFP

Force constants

../../_images/fig_fc210769.png

(a) Force constants w.r.t atomic distance

Summary

../../_images/fig_kappa8563.png

(a) Temperature-dependent lattice thermal conductivity

../../_images/fig_times18864.png

(b) Computation time