mp-29344/LiGaCl3/anharm

Harmonic properties

../../_images/fig_bandos_pr11152.png

(a) Phonon dispersion with participation ratio and DOS

../../_images/fig_thermo11152.png

(b) Thermodynamic properties

Grüneisen parameters

../../_images/fig_gru_all4595.png

(a) Grüneisen parameters

../../_images/fig_gruneisen4595.png

(b) Phonon dispersion with Grüneisen parameters

Thermal conductivity

3-phonon (LASSO) — q-mesh: 4x7x11, supercell: 1x1x2

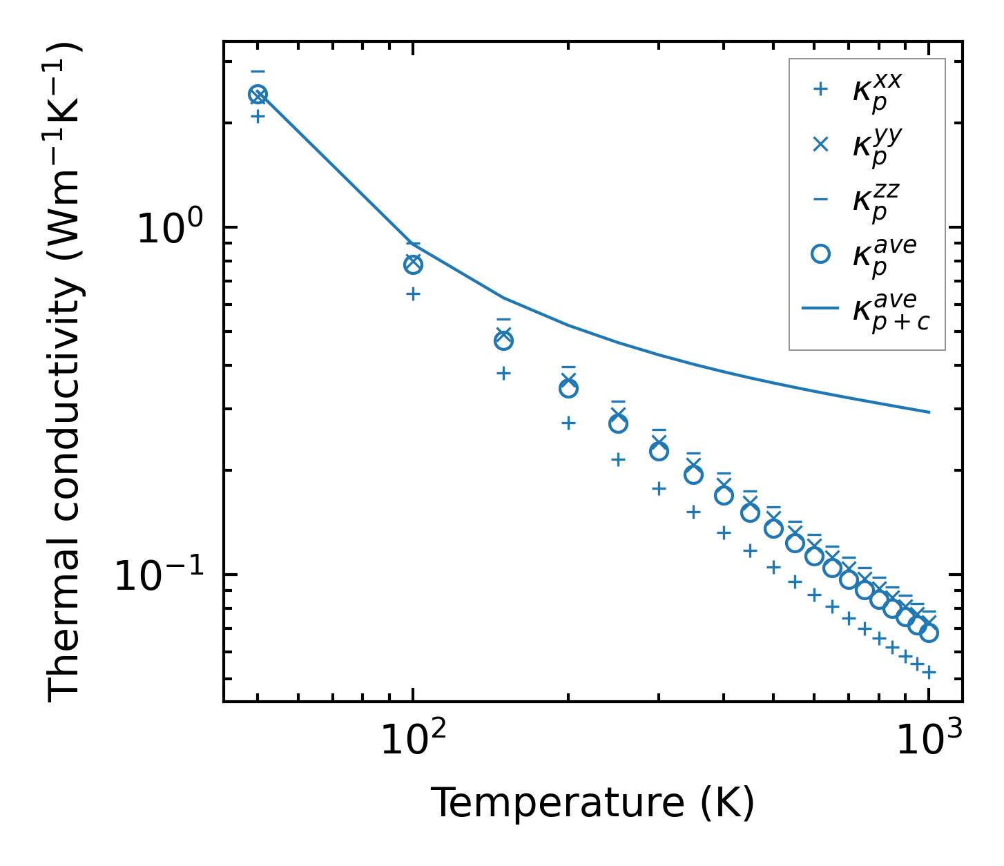
../../_images/fig_kappa8675.png

(a) Temperature-dependent lattice thermal conductivity

../../_images/fig_kappa_vs_grain_size4652.png

(b) Peierls lattice thermal conductivity w.r.t grain size

Phonon lifetime and scattering rates

../../_images/fig_lifetime4551.png

(a) Phonon lifetime due to phonon-phonon scattering

../../_images/fig_scat_rates4550.png

(b) Phonon scattering rates

Cumulative and spectral thermal conductivity

../../_images/fig_cumu_frequency4551.png

(a) Spectral and cumulative thermal conductivity w.r.t frequency

../../_images/fig_cumu_mfp4550.png

(b) Spectral and cumulative thermal conductivity w.r.t MFP

Force constants

../../_images/fig_fc210869.png

(a) Force constants w.r.t atomic distance

Summary

../../_images/fig_kappa8676.png

(a) Temperature-dependent lattice thermal conductivity

../../_images/fig_times19063.png

(b) Computation time