mp-29009/Li2MgBr4/anharm

Equation of state

../../_images/fig_bm5552.png

(a) Equation of state

Harmonic properties

../../_images/fig_bandos_pr11356.png

(a) Phonon dispersion with participation ratio and DOS

../../_images/fig_thermo11356.png

(b) Thermodynamic properties

Grüneisen parameters

../../_images/fig_gru_all4699.png

(a) Grüneisen parameters

../../_images/fig_gruneisen4699.png

(b) Phonon dispersion with Grüneisen parameters

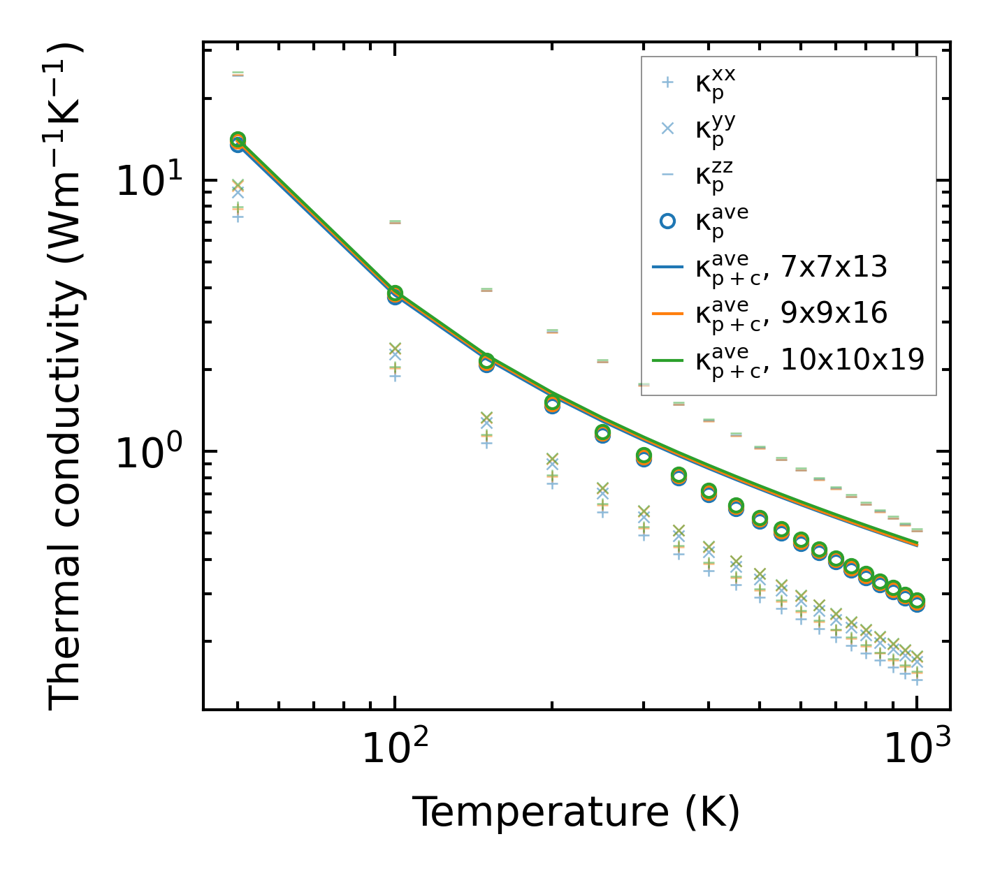
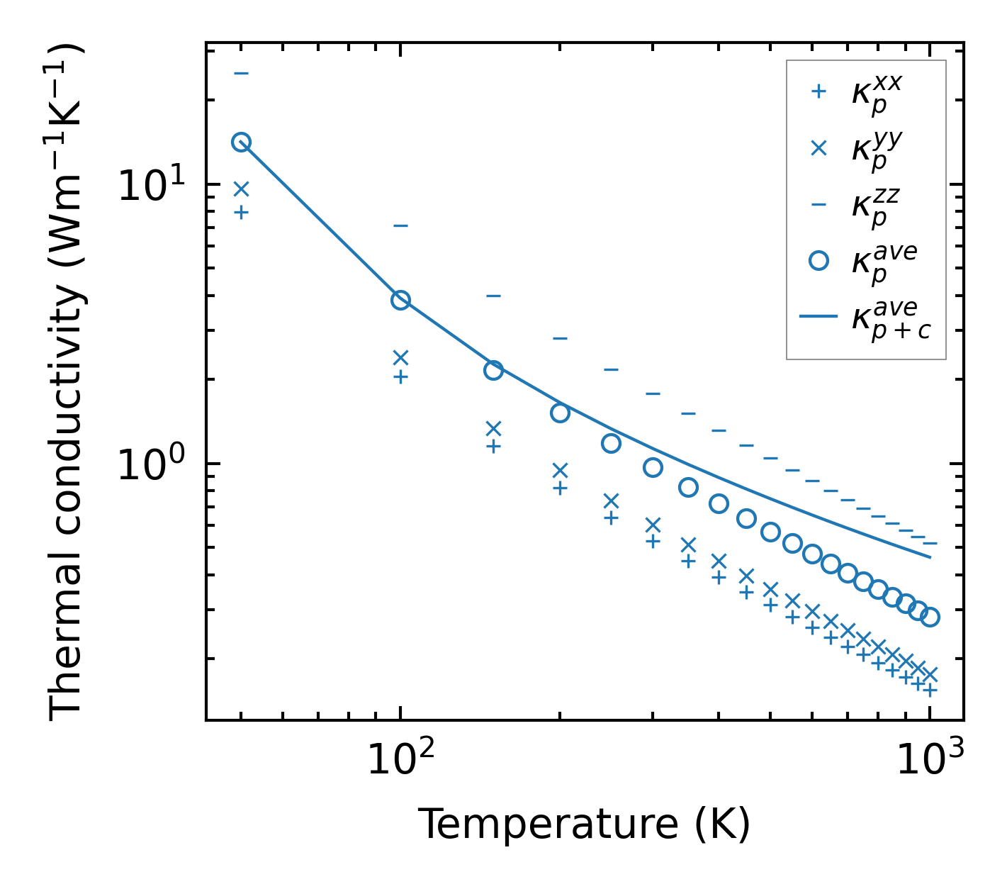
Thermal conductivity

3-phonon (LASSO) — q-mesh: 10x10x19, supercell: 2x1x3

../../_images/fig_kappa8870.png

(a) Temperature-dependent lattice thermal conductivity

../../_images/fig_kappa_vs_grain_size4758.png

(b) Peierls lattice thermal conductivity w.r.t grain size

Phonon lifetime and scattering rates

../../_images/fig_lifetime4655.png

(a) Phonon lifetime due to phonon-phonon scattering

../../_images/fig_scat_rates4654.png

(b) Phonon scattering rates

Cumulative and spectral thermal conductivity

../../_images/fig_cumu_frequency4655.png

(a) Spectral and cumulative thermal conductivity w.r.t frequency

../../_images/fig_cumu_mfp4654.png

(b) Spectral and cumulative thermal conductivity w.r.t MFP

Force constants

../../_images/fig_fc211072.png

(a) Force constants w.r.t atomic distance

Summary

../../_images/fig_kappa8871.png

(a) Temperature-dependent lattice thermal conductivity

../../_images/fig_times19384.png

(b) Computation time