mp-29398/Cs2HfI6/anharm

Harmonic properties

../../_images/fig_bandos_pr11181.png

(a) Phonon dispersion with participation ratio and DOS

../../_images/fig_thermo11181.png

(b) Thermodynamic properties

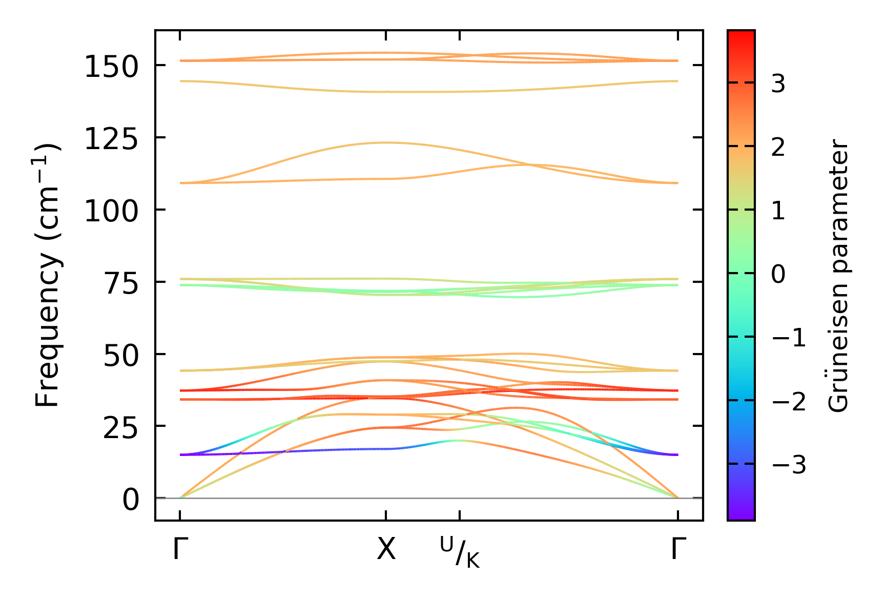
Grüneisen parameters

../../_images/fig_gru_all4612.png

(a) Grüneisen parameters

../../_images/fig_gruneisen4612.png

(b) Phonon dispersion with Grüneisen parameters

Thermal conductivity

3-phonon — q-mesh: 9x9x9, supercell: 1x1x1

../../_images/fig_kappa8706.png

(a) Temperature-dependent lattice thermal conductivity

../../_images/fig_kappa_vs_grain_size4669.png

(b) Peierls lattice thermal conductivity w.r.t grain size

Phonon lifetime and scattering rates

../../_images/fig_lifetime4568.png

(a) Phonon lifetime due to phonon-phonon scattering

../../_images/fig_scat_rates4567.png

(b) Phonon scattering rates

Cumulative and spectral thermal conductivity

../../_images/fig_cumu_frequency4568.png

(a) Spectral and cumulative thermal conductivity w.r.t frequency

../../_images/fig_cumu_mfp4567.png

(b) Spectral and cumulative thermal conductivity w.r.t MFP

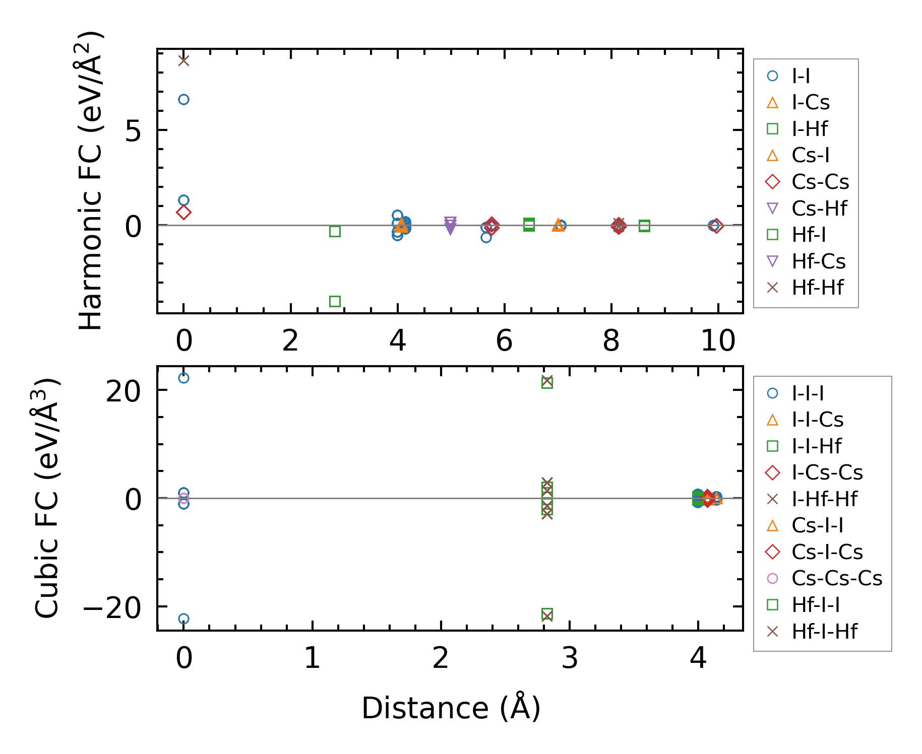
Force constants

../../_images/fig_fc3284.png

(a) Force constants w.r.t atomic distance

Summary

../../_images/fig_kappa8707.png

(a) Temperature-dependent lattice thermal conductivity

../../_images/fig_times19106.png

(b) Computation time