mp-29764/RbHF2/anharm

Harmonic properties

../../_images/fig_bandos_pr11309.png

(a) Phonon dispersion with participation ratio and DOS

../../_images/fig_thermo11309.png

(b) Thermodynamic properties

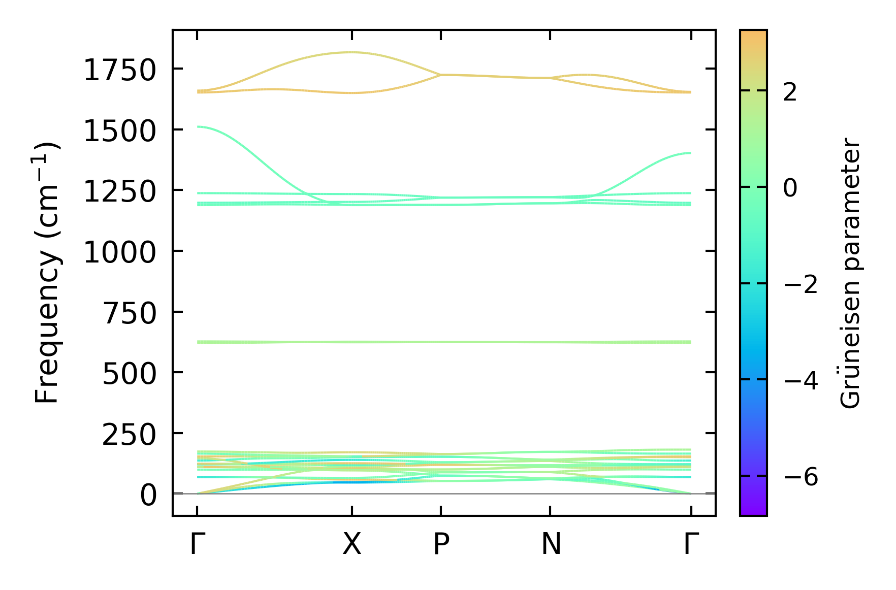
Grüneisen parameters

../../_images/fig_gru_all4672.png

(a) Grüneisen parameters

../../_images/fig_gruneisen4672.png

(b) Phonon dispersion with Grüneisen parameters

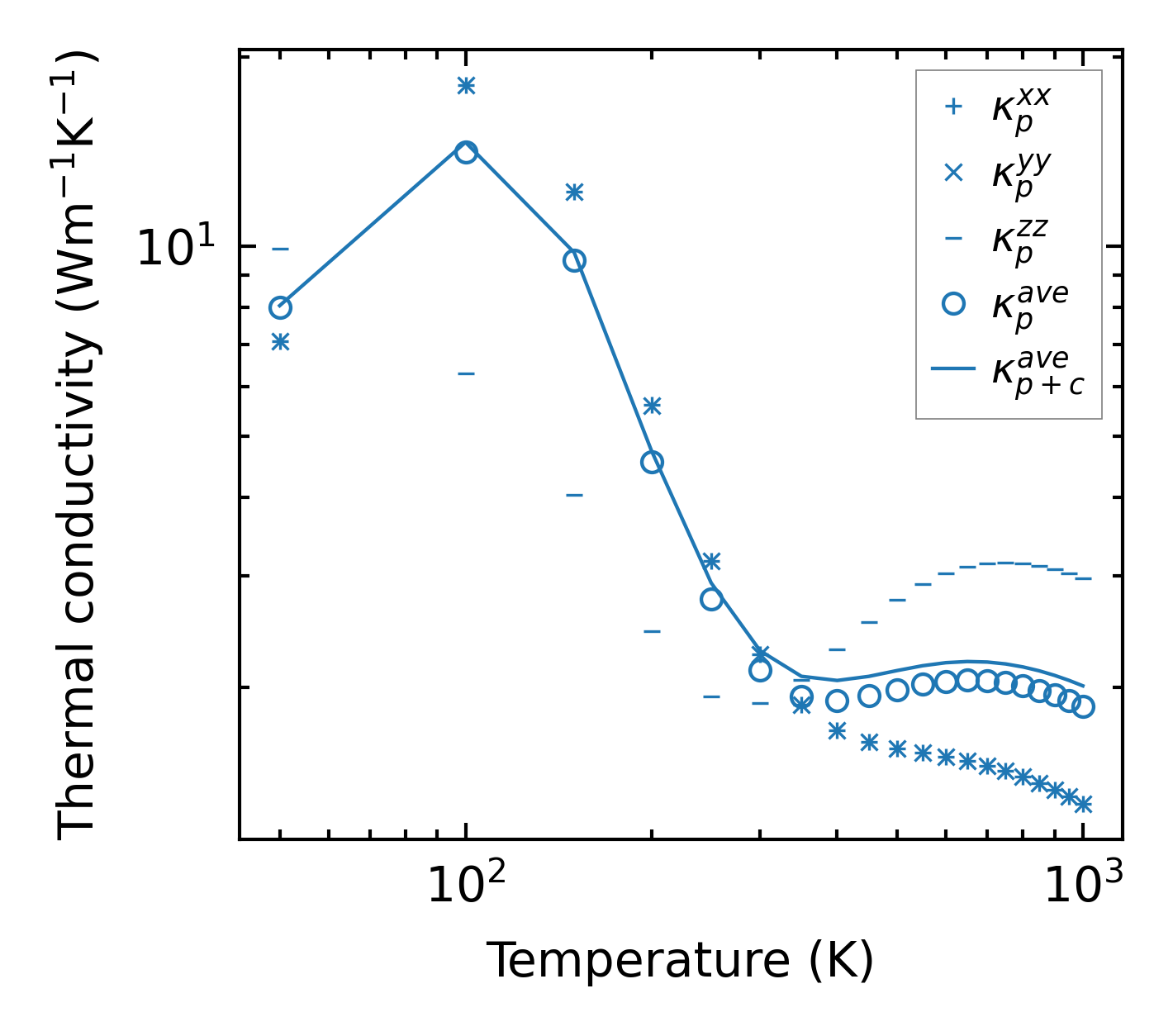
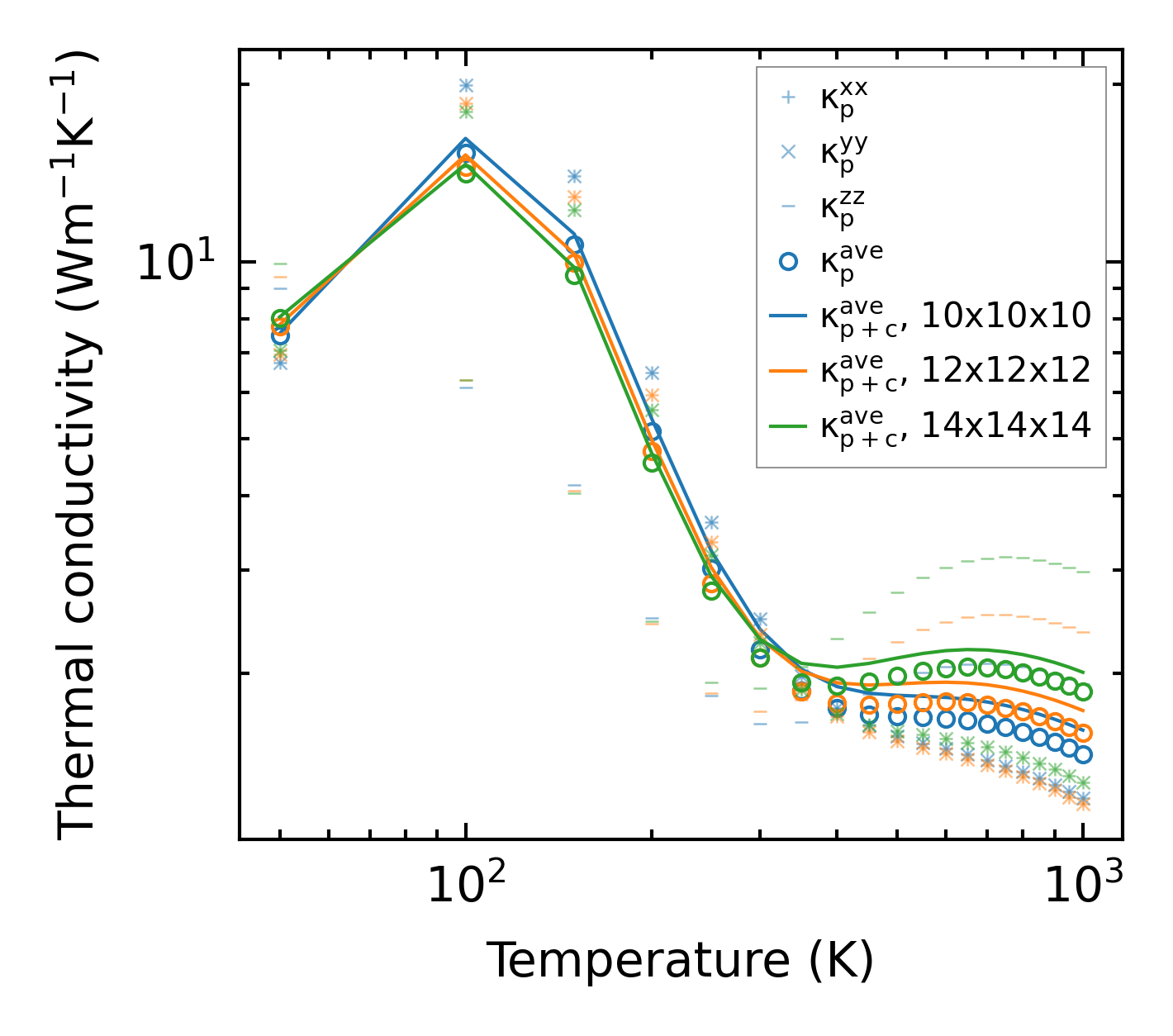
Thermal conductivity

3-phonon (LASSO) — q-mesh: 14x14x14, supercell: 2x2x2

../../_images/fig_kappa8818.png

(a) Temperature-dependent lattice thermal conductivity

../../_images/fig_kappa_vs_grain_size4729.png

(b) Peierls lattice thermal conductivity w.r.t grain size

Phonon lifetime and scattering rates

../../_images/fig_lifetime4628.png

(a) Phonon lifetime due to phonon-phonon scattering

../../_images/fig_scat_rates4627.png

(b) Phonon scattering rates

Cumulative and spectral thermal conductivity

../../_images/fig_cumu_frequency4628.png

(a) Spectral and cumulative thermal conductivity w.r.t frequency

../../_images/fig_cumu_mfp4627.png

(b) Spectral and cumulative thermal conductivity w.r.t MFP

Force constants

../../_images/fig_fc211025.png

(a) Force constants w.r.t atomic distance

Summary

../../_images/fig_kappa8819.png

(a) Temperature-dependent lattice thermal conductivity

../../_images/fig_times19303.png

(b) Computation time