mp-29102/Hg3TeCl4/anharm

Harmonic properties

../../_images/fig_bandos_pr11394.png

(a) Phonon dispersion with participation ratio and DOS

../../_images/fig_thermo11394.png

(b) Thermodynamic properties

Grüneisen parameters

../../_images/fig_gru_all4720.png

(a) Grüneisen parameters

../../_images/fig_gruneisen4720.png

(b) Phonon dispersion with Grüneisen parameters

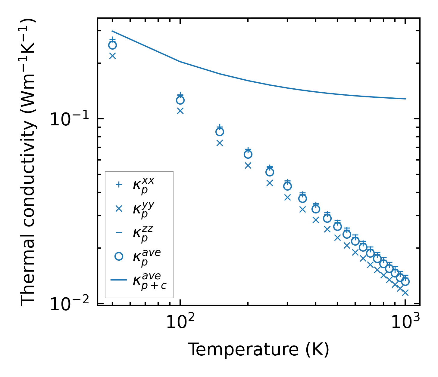
Thermal conductivity

3-phonon (LASSO) — q-mesh: 6x5x5, supercell: 2x1x1

../../_images/fig_kappa8908.png

(a) Temperature-dependent lattice thermal conductivity

../../_images/fig_kappa_vs_grain_size4779.png

(b) Peierls lattice thermal conductivity w.r.t grain size

Phonon lifetime and scattering rates

../../_images/fig_lifetime4676.png

(a) Phonon lifetime due to phonon-phonon scattering

../../_images/fig_scat_rates4675.png

(b) Phonon scattering rates

Cumulative and spectral thermal conductivity

../../_images/fig_cumu_frequency4676.png

(a) Spectral and cumulative thermal conductivity w.r.t frequency

../../_images/fig_cumu_mfp4675.png

(b) Spectral and cumulative thermal conductivity w.r.t MFP

Force constants

../../_images/fig_fc211110.png

(a) Force constants w.r.t atomic distance

Summary

../../_images/fig_kappa8909.png

(a) Temperature-dependent lattice thermal conductivity

../../_images/fig_times19435.png

(b) Computation time