mp-29555/MoBr2/anharm

Harmonic properties

../../_images/fig_bandos_pr11246.png

(a) Phonon dispersion with participation ratio and DOS

../../_images/fig_thermo11246.png

(b) Thermodynamic properties

Grüneisen parameters

../../_images/fig_gru_all4646.png

(a) Grüneisen parameters

../../_images/fig_gruneisen4646.png

(b) Phonon dispersion with Grüneisen parameters

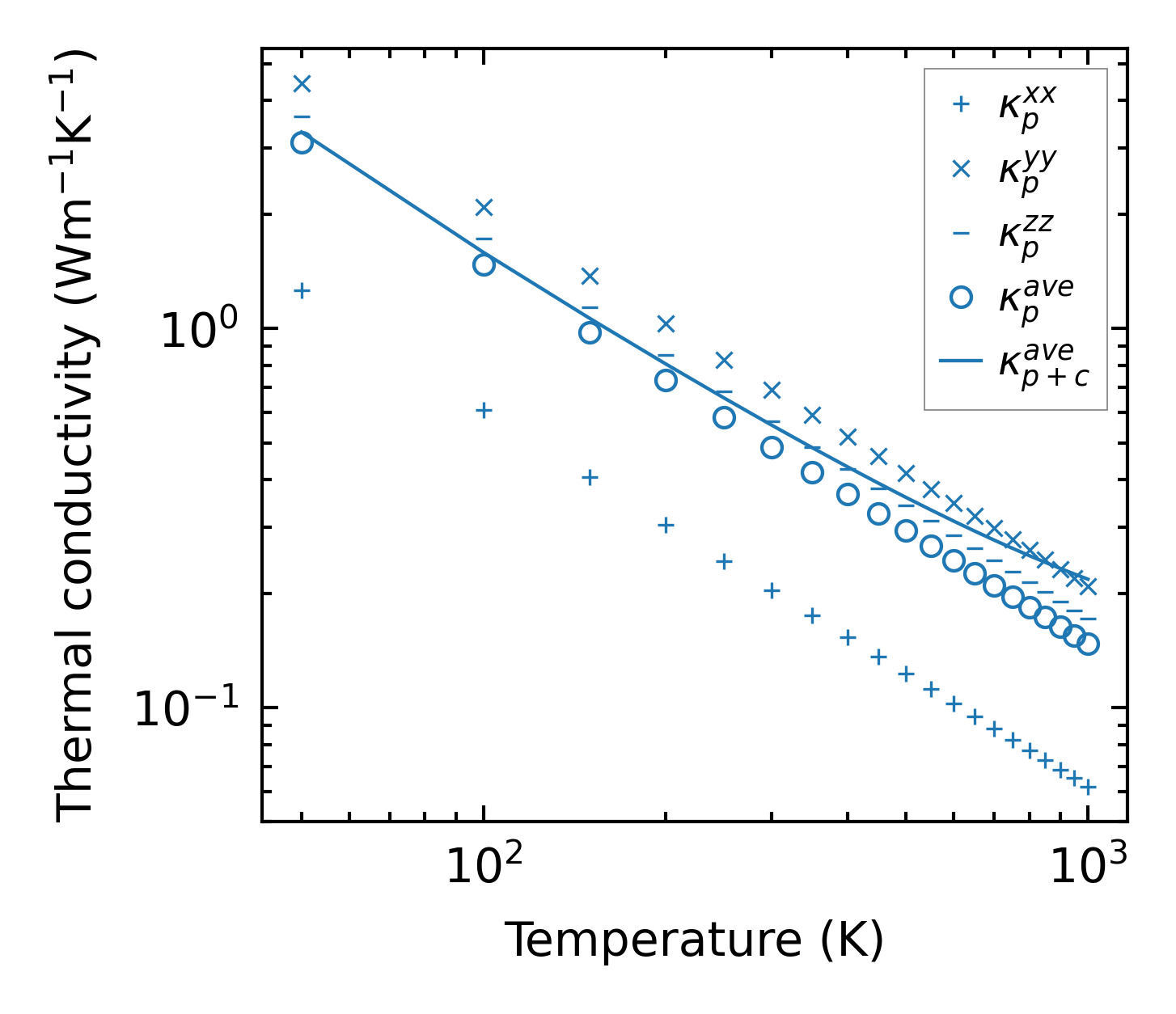
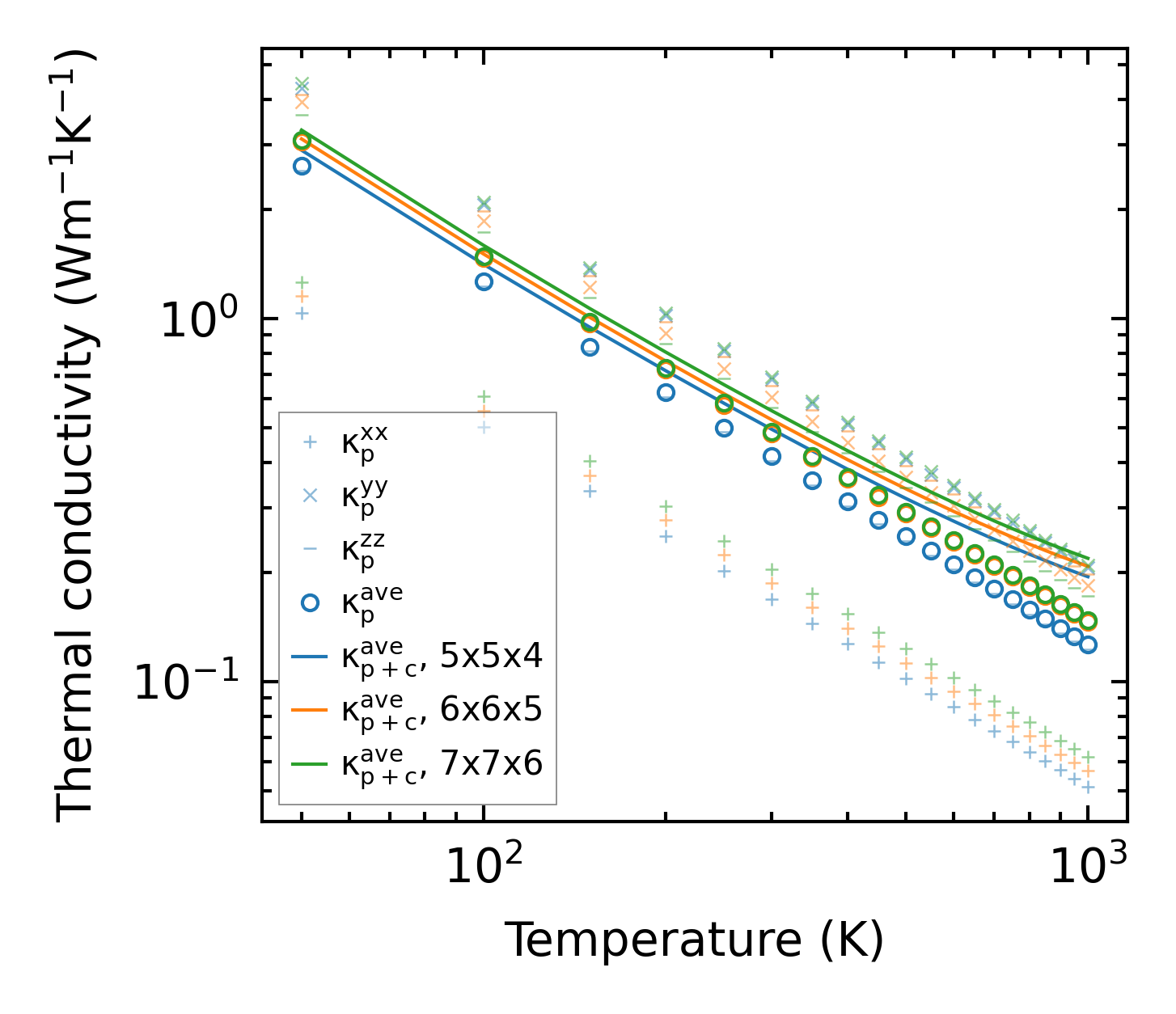
Thermal conductivity

3-phonon (LASSO) — q-mesh: 7x7x6, supercell: 1x2x1

../../_images/fig_kappa8769.png

(a) Temperature-dependent lattice thermal conductivity

../../_images/fig_kappa_vs_grain_size4703.png

(b) Peierls lattice thermal conductivity w.r.t grain size

Phonon lifetime and scattering rates

../../_images/fig_lifetime4602.png

(a) Phonon lifetime due to phonon-phonon scattering

../../_images/fig_scat_rates4601.png

(b) Phonon scattering rates

Cumulative and spectral thermal conductivity

../../_images/fig_cumu_frequency4602.png

(a) Spectral and cumulative thermal conductivity w.r.t frequency

../../_images/fig_cumu_mfp4601.png

(b) Spectral and cumulative thermal conductivity w.r.t MFP

Force constants

../../_images/fig_fc210962.png

(a) Force constants w.r.t atomic distance

Summary

../../_images/fig_kappa8770.png

(a) Temperature-dependent lattice thermal conductivity

../../_images/fig_times19203.png

(b) Computation time