mp-29238/TlAgSe/anharm

Harmonic properties

../../_images/fig_bandos_pr11457.png

(a) Phonon dispersion with participation ratio and DOS

../../_images/fig_thermo11457.png

(b) Thermodynamic properties

Grüneisen parameters

../../_images/fig_gru_all4747.png

(a) Grüneisen parameters

../../_images/fig_gruneisen4747.png

(b) Phonon dispersion with Grüneisen parameters

Thermal conductivity

3-phonon (LASSO) — q-mesh: 8x15x9, supercell: 2x3x2

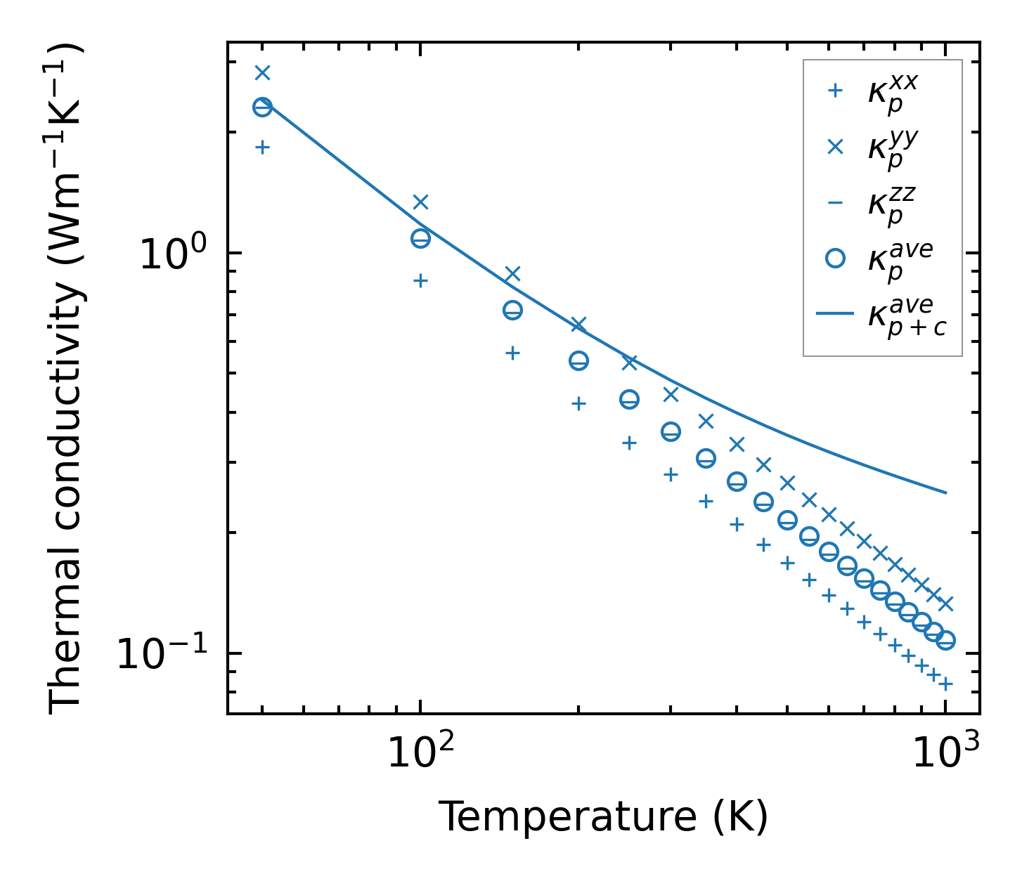
../../_images/fig_kappa8958.png

(a) Temperature-dependent lattice thermal conductivity

../../_images/fig_kappa_vs_grain_size4805.png

(b) Peierls lattice thermal conductivity w.r.t grain size

Phonon lifetime and scattering rates

../../_images/fig_lifetime4702.png

(a) Phonon lifetime due to phonon-phonon scattering

../../_images/fig_scat_rates4701.png

(b) Phonon scattering rates

Cumulative and spectral thermal conductivity

../../_images/fig_cumu_frequency4702.png

(a) Spectral and cumulative thermal conductivity w.r.t frequency

../../_images/fig_cumu_mfp4701.png

(b) Spectral and cumulative thermal conductivity w.r.t MFP

Force constants

../../_images/fig_fc211173.png

(a) Force constants w.r.t atomic distance

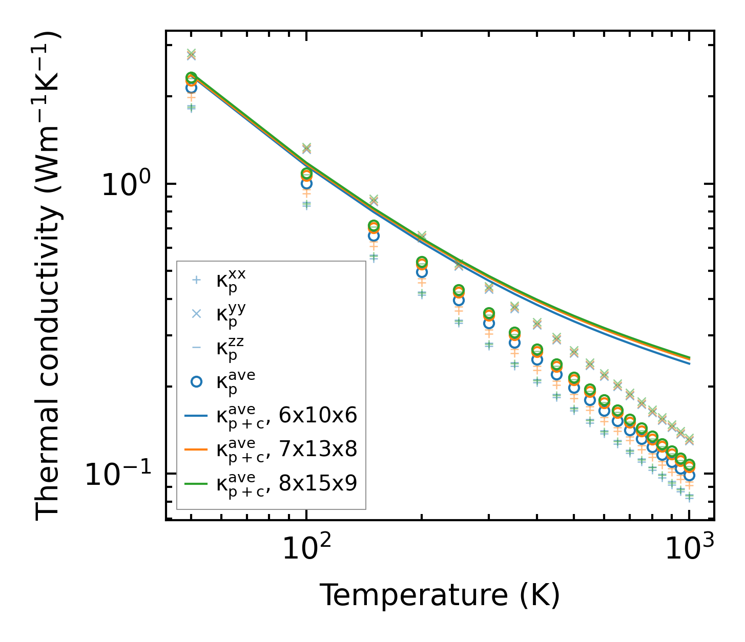
Summary

../../_images/fig_kappa8959.png

(a) Temperature-dependent lattice thermal conductivity

../../_images/fig_times19529.png

(b) Computation time