mp-29794/Ba2PdF6/anharm

Harmonic properties

../../_images/fig_bandos_pr11314.png

(a) Phonon dispersion with participation ratio and DOS

../../_images/fig_thermo11314.png

(b) Thermodynamic properties

Grüneisen parameters

../../_images/fig_gru_all4676.png

(a) Grüneisen parameters

../../_images/fig_gruneisen4676.png

(b) Phonon dispersion with Grüneisen parameters

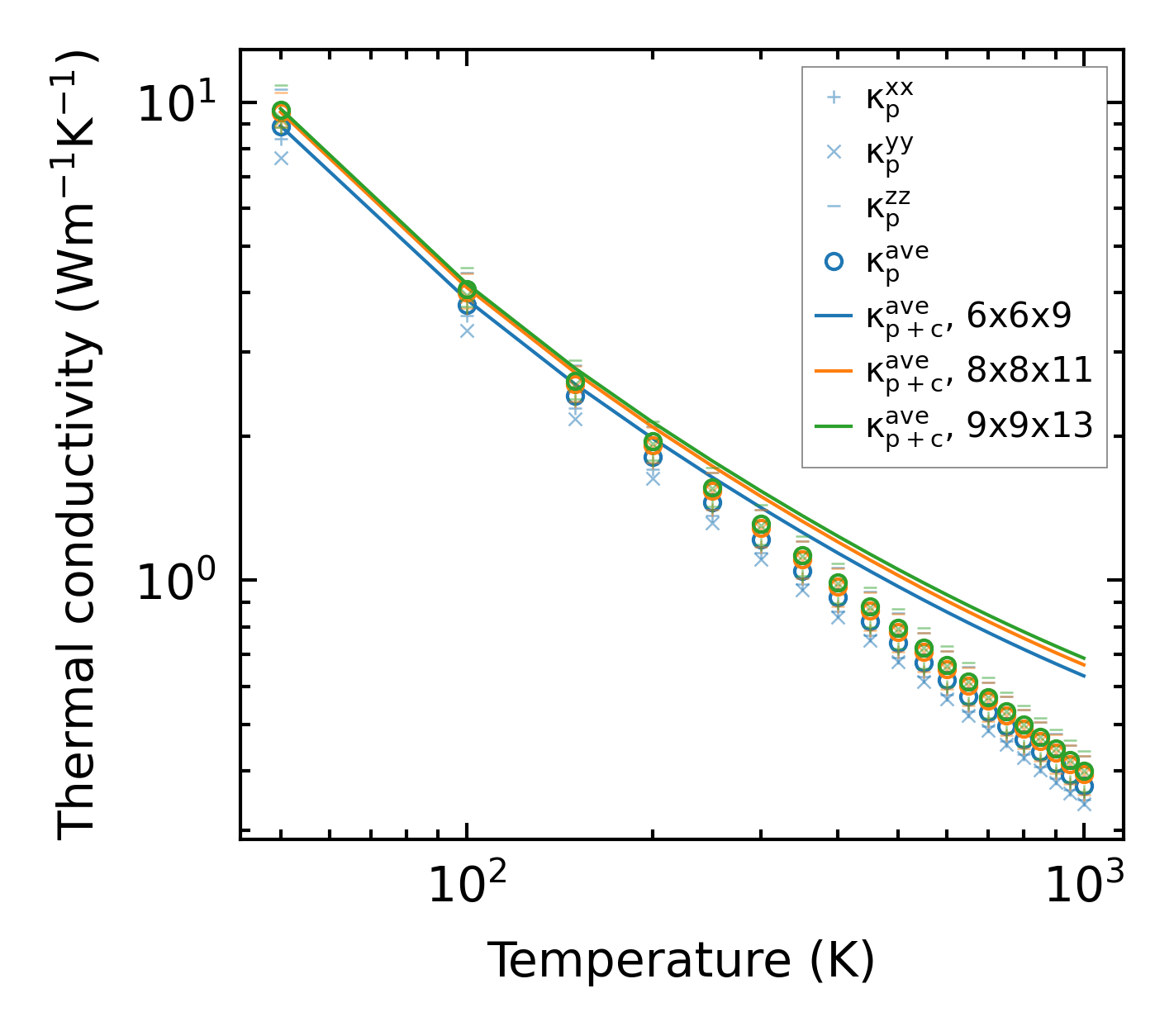
Thermal conductivity

3-phonon (LASSO) — q-mesh: 9x9x13, supercell: 1x2x2

../../_images/fig_kappa8826.png

(a) Temperature-dependent lattice thermal conductivity

../../_images/fig_kappa_vs_grain_size4733.png

(b) Peierls lattice thermal conductivity w.r.t grain size

Phonon lifetime and scattering rates

../../_images/fig_lifetime4632.png

(a) Phonon lifetime due to phonon-phonon scattering

../../_images/fig_scat_rates4631.png

(b) Phonon scattering rates

Cumulative and spectral thermal conductivity

../../_images/fig_cumu_frequency4632.png

(a) Spectral and cumulative thermal conductivity w.r.t frequency

../../_images/fig_cumu_mfp4631.png

(b) Spectral and cumulative thermal conductivity w.r.t MFP

Force constants

../../_images/fig_fc211030.png

(a) Force constants w.r.t atomic distance

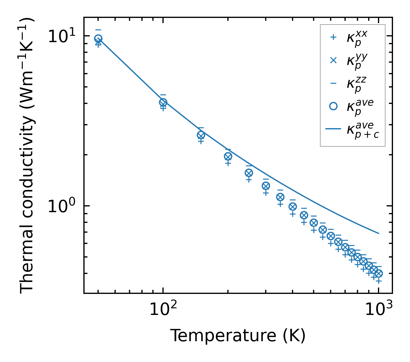
Summary

../../_images/fig_kappa8827.png

(a) Temperature-dependent lattice thermal conductivity

../../_images/fig_times19310.png

(b) Computation time