mp-29110/Al2Fe3Si3/anharm

Harmonic properties

../../_images/fig_bandos_pr11400.png

(a) Phonon dispersion with participation ratio and DOS

../../_images/fig_thermo11400.png

(b) Thermodynamic properties

Grüneisen parameters

../../_images/fig_gru_all4724.png

(a) Grüneisen parameters

../../_images/fig_gruneisen4724.png

(b) Phonon dispersion with Grüneisen parameters

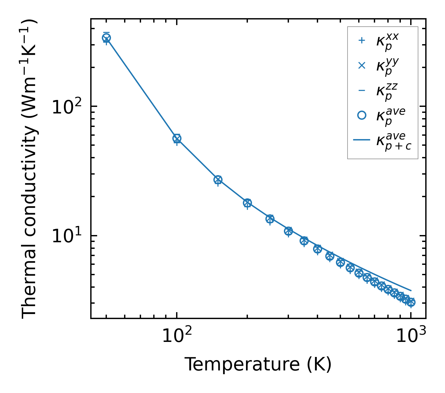
Thermal conductivity

3-phonon (LASSO) — q-mesh: 16x11x10, supercell: 2x2x2

../../_images/fig_kappa8916.png

(a) Temperature-dependent lattice thermal conductivity

../../_images/fig_kappa_vs_grain_size4783.png

(b) Peierls lattice thermal conductivity w.r.t grain size

Phonon lifetime and scattering rates

../../_images/fig_lifetime4680.png

(a) Phonon lifetime due to phonon-phonon scattering

../../_images/fig_scat_rates4679.png

(b) Phonon scattering rates

Cumulative and spectral thermal conductivity

../../_images/fig_cumu_frequency4680.png

(a) Spectral and cumulative thermal conductivity w.r.t frequency

../../_images/fig_cumu_mfp4679.png

(b) Spectral and cumulative thermal conductivity w.r.t MFP

Force constants

../../_images/fig_fc211116.png

(a) Force constants w.r.t atomic distance

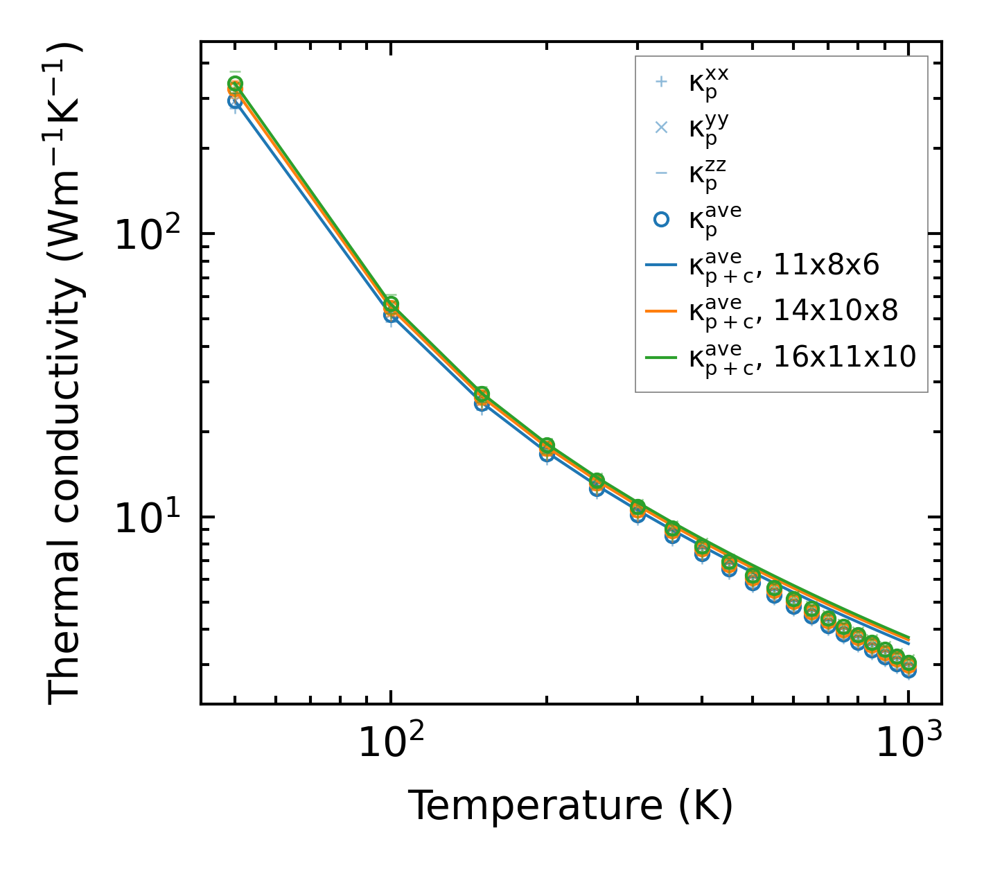
Summary

../../_images/fig_kappa8917.png

(a) Temperature-dependent lattice thermal conductivity

../../_images/fig_times19441.png

(b) Computation time