mp-29835/K2SnTe3/anharm

Harmonic properties

../../_images/fig_bandos_pr11010.png

(a) Phonon dispersion with participation ratio and DOS

../../_images/fig_thermo11010.png

(b) Thermodynamic properties

Grüneisen parameters

../../_images/fig_gru_all4517.png

(a) Grüneisen parameters

../../_images/fig_gruneisen4517.png

(b) Phonon dispersion with Grüneisen parameters

Thermal conductivity

3-phonon (LASSO) — q-mesh: 6x6x9, supercell: 1x2x1

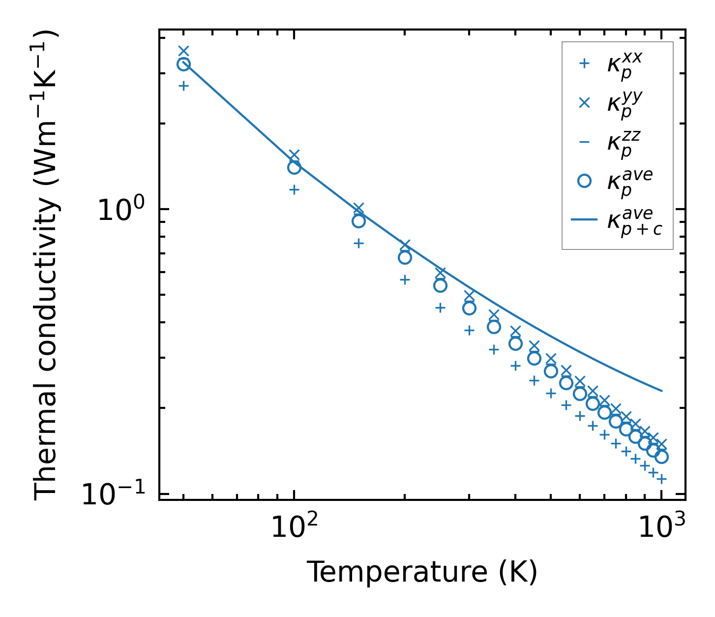
../../_images/fig_kappa8528.png

(a) Temperature-dependent lattice thermal conductivity

../../_images/fig_kappa_vs_grain_size4572.png

(b) Peierls lattice thermal conductivity w.r.t grain size

Phonon lifetime and scattering rates

../../_images/fig_lifetime4473.png

(a) Phonon lifetime due to phonon-phonon scattering

../../_images/fig_scat_rates4472.png

(b) Phonon scattering rates

Cumulative and spectral thermal conductivity

../../_images/fig_cumu_frequency4473.png

(a) Spectral and cumulative thermal conductivity w.r.t frequency

../../_images/fig_cumu_mfp4472.png

(b) Spectral and cumulative thermal conductivity w.r.t MFP

Force constants

../../_images/fig_fc210734.png

(a) Force constants w.r.t atomic distance

Summary

../../_images/fig_kappa8529.png

(a) Temperature-dependent lattice thermal conductivity

../../_images/fig_times18802.png

(b) Computation time