mp-29738-2/TlClO3/harm

Equation of state

../../_images/fig_bm5517.png

(a) Equation of state

Harmonic properties

../../_images/fig_bandos_pr11295.png

(a) Phonon dispersion with participation ratio and DOS

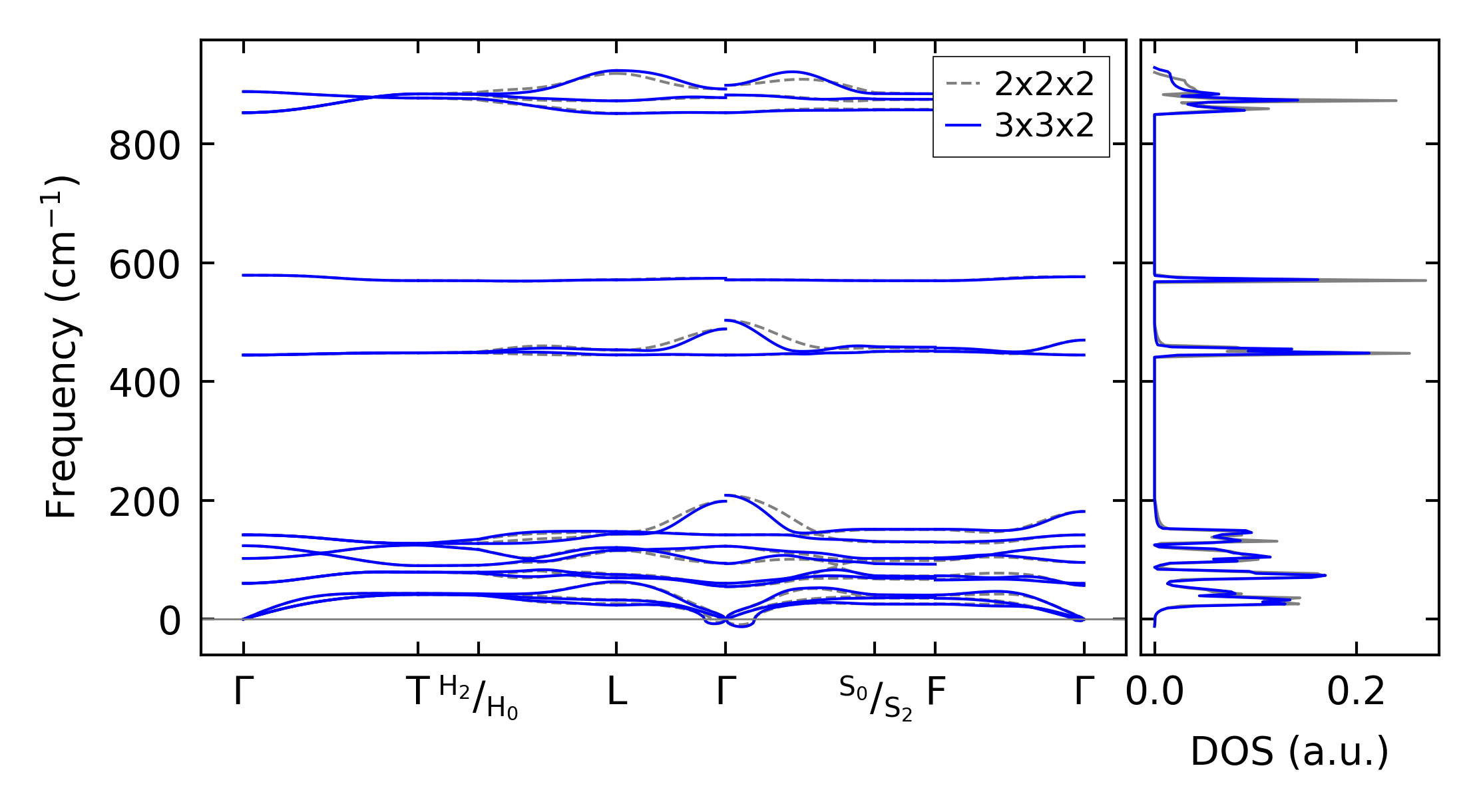
../../_images/fig_bandos15277.png

(b) Phonon dispersion and DOS

../../_images/fig_thermo11295.png

(c) Thermodynamic properties

Force constants

../../_images/fig_fc211011.png

(a) Force constants w.r.t atomic distance

Summary

../../_images/fig_times19287.png

(a) Computation time