mp-29806-2/Cs2PdI6/harm

Equation of state

../../_images/fig_bm5525.png

(a) Equation of state

Harmonic properties

../../_images/fig_bandos_pr11319.png

(a) Phonon dispersion with participation ratio and DOS

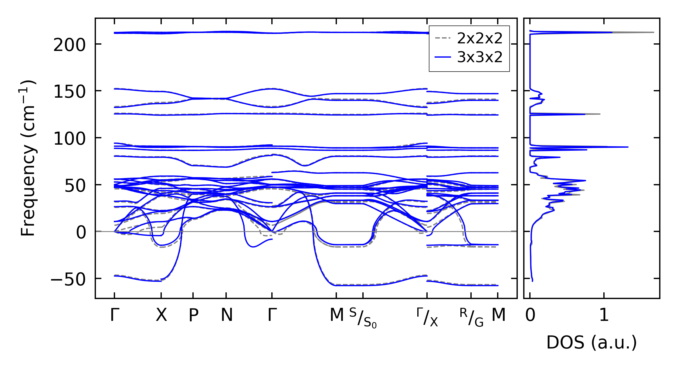
../../_images/fig_bandos15296.png

(b) Phonon dispersion and DOS

../../_images/fig_thermo11319.png

(c) Thermodynamic properties

Force constants

../../_images/fig_fc211035.png

(a) Force constants w.r.t atomic distance

Summary

../../_images/fig_times19316.png

(a) Computation time