mp-29826-2/ZnCN2/anharm

Equation of state

../../_images/fig_bm5530.png

(a) Equation of state

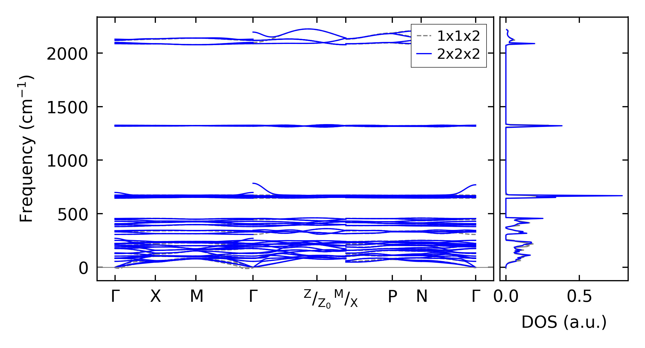
Harmonic properties

../../_images/fig_bandos_pr11324.png

(a) Phonon dispersion with participation ratio and DOS

../../_images/fig_bandos15305.png

(b) Phonon dispersion and DOS

../../_images/fig_thermo11324.png

(c) Thermodynamic properties

Grüneisen parameters

../../_images/fig_gru_all4681.png

(a) Grüneisen parameters

../../_images/fig_gruneisen4681.png

(b) Phonon dispersion with Grüneisen parameters

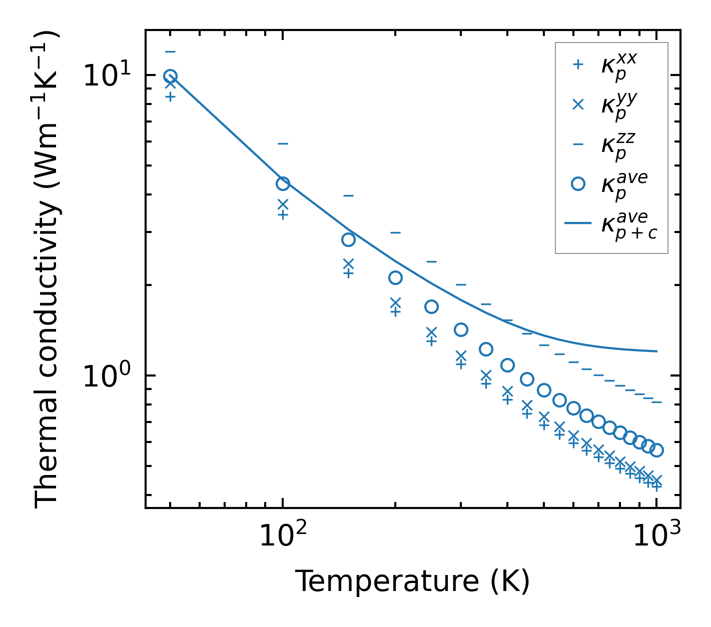
Thermal conductivity

3-phonon (LASSO), supercell 2x2x2 — q-mesh: 12x12x12, supercell: 2x2x2

../../_images/fig_kappa8835.png

(a) Temperature-dependent lattice thermal conductivity

../../_images/fig_kappa_vs_grain_size4738.png

(b) Peierls lattice thermal conductivity w.r.t grain size

Phonon lifetime and scattering rates

../../_images/fig_lifetime4637.png

(a) Phonon lifetime due to phonon-phonon scattering

../../_images/fig_scat_rates4636.png

(b) Phonon scattering rates

Cumulative and spectral thermal conductivity

../../_images/fig_cumu_frequency4637.png

(a) Spectral and cumulative thermal conductivity w.r.t frequency

../../_images/fig_cumu_mfp4636.png

(b) Spectral and cumulative thermal conductivity w.r.t MFP

Force constants

../../_images/fig_fc211040.png

(a) Force constants w.r.t atomic distance

Summary

../../_images/fig_times19326.png

(a) Computation time