mp-29044/Cd4Sb2I3/anharm

Harmonic properties

../../_images/fig_bandos_pr11372.png

(a) Phonon dispersion with participation ratio and DOS

../../_images/fig_thermo11372.png

(b) Thermodynamic properties

Grüneisen parameters

../../_images/fig_gru_all4709.png

(a) Grüneisen parameters

../../_images/fig_gruneisen4709.png

(b) Phonon dispersion with Grüneisen parameters

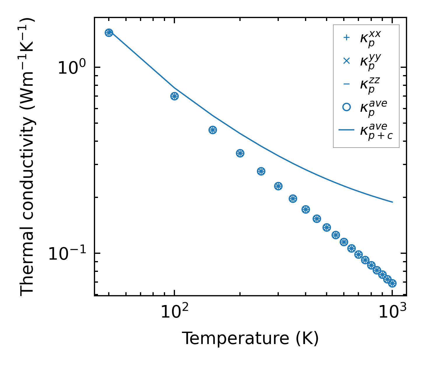
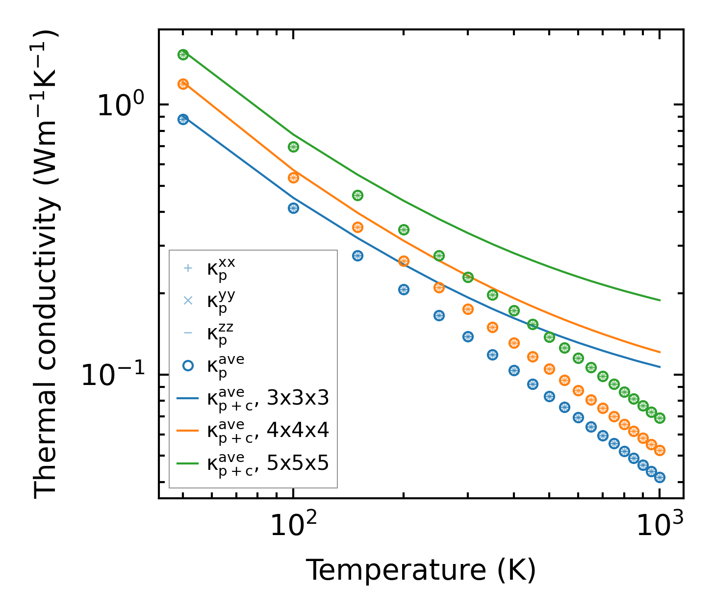
Thermal conductivity

3-phonon (LASSO) — q-mesh: 5x5x5, supercell: 1x1x1

../../_images/fig_kappa8889.png

(a) Temperature-dependent lattice thermal conductivity

../../_images/fig_kappa_vs_grain_size4768.png

(b) Peierls lattice thermal conductivity w.r.t grain size

Phonon lifetime and scattering rates

../../_images/fig_lifetime4665.png

(a) Phonon lifetime due to phonon-phonon scattering

../../_images/fig_scat_rates4664.png

(b) Phonon scattering rates

Cumulative and spectral thermal conductivity

../../_images/fig_cumu_frequency4665.png

(a) Spectral and cumulative thermal conductivity w.r.t frequency

../../_images/fig_cumu_mfp4664.png

(b) Spectral and cumulative thermal conductivity w.r.t MFP

Force constants

../../_images/fig_fc211088.png

(a) Force constants w.r.t atomic distance

Summary

../../_images/fig_kappa8890.png

(a) Temperature-dependent lattice thermal conductivity

../../_images/fig_times19405.png

(b) Computation time