mp-29274-2/P2PdO6/anharm

Equation of state

../../_images/fig_bm5603.png

(a) Equation of state

Harmonic properties

../../_images/fig_bandos_pr11472.png

(a) Phonon dispersion with participation ratio and DOS

../../_images/fig_thermo11472.png

(b) Thermodynamic properties

Grüneisen parameters

../../_images/fig_gru_all4755.png

(a) Grüneisen parameters

../../_images/fig_gruneisen4755.png

(b) Phonon dispersion with Grüneisen parameters

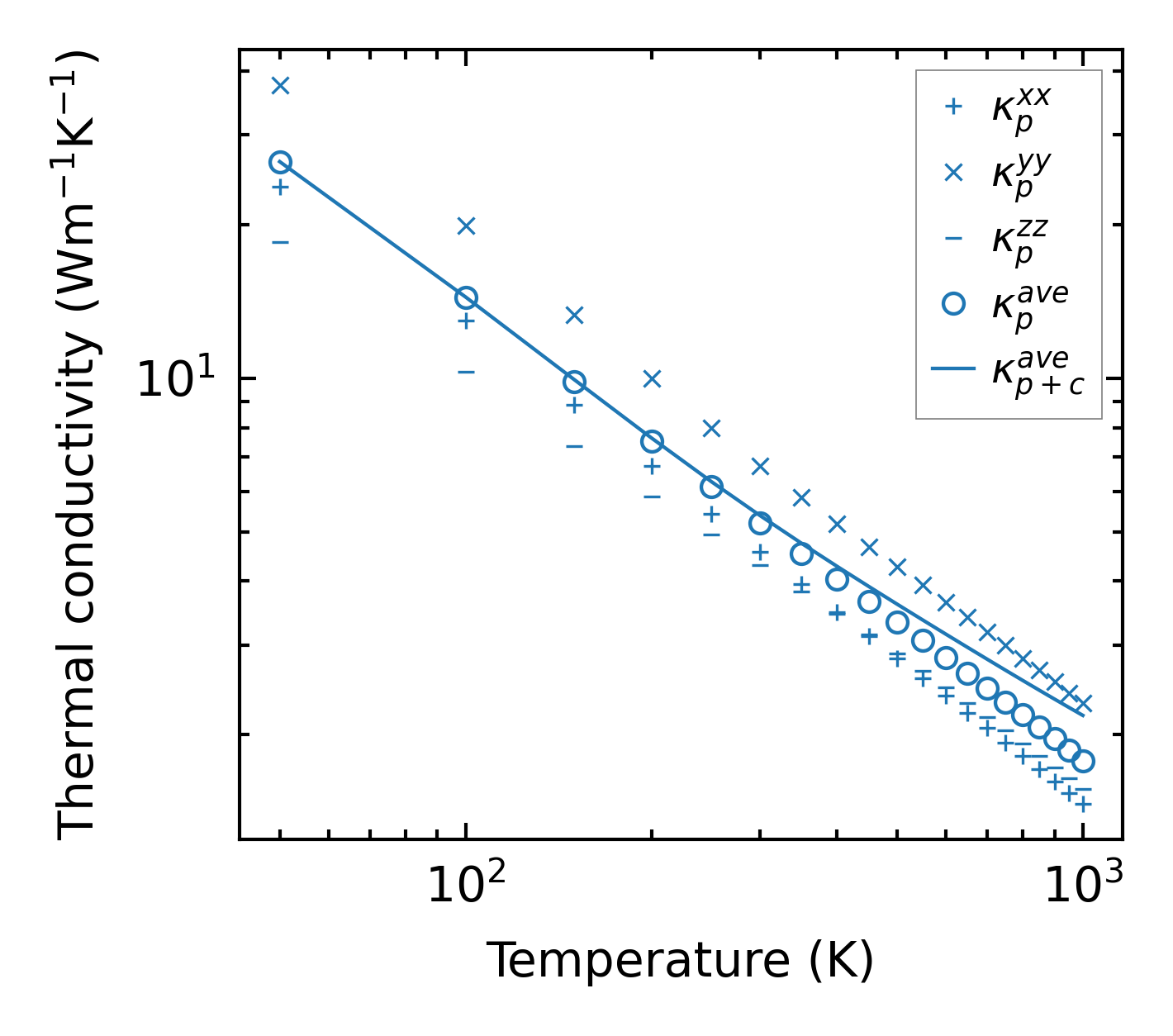
Thermal conductivity

3-phonon (LASSO) — q-mesh: 5x15x16, supercell: 1x2x3

../../_images/fig_kappa8974.png

(a) Temperature-dependent lattice thermal conductivity

../../_images/fig_kappa_vs_grain_size4813.png

(b) Peierls lattice thermal conductivity w.r.t grain size

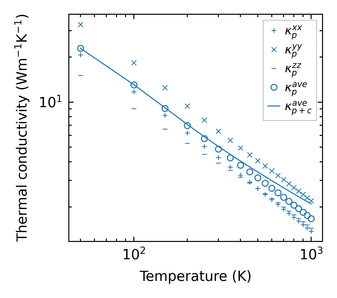
3-phonon (LASSO), supercell 1x3x3 — q-mesh: 5x15x16, supercell: 1x3x3

../../_images/fig_kappa8975.png

(a) Temperature-dependent lattice thermal conductivity

../../_images/fig_kappa_vs_grain_size4814.png

(b) Peierls lattice thermal conductivity w.r.t grain size

Phonon lifetime and scattering rates

../../_images/fig_lifetime4710.png

(a) Phonon lifetime due to phonon-phonon scattering

../../_images/fig_scat_rates4709.png

(b) Phonon scattering rates

Cumulative and spectral thermal conductivity

../../_images/fig_cumu_frequency4710.png

(a) Spectral and cumulative thermal conductivity w.r.t frequency

../../_images/fig_cumu_mfp4709.png

(b) Spectral and cumulative thermal conductivity w.r.t MFP

Force constants

../../_images/fig_fc211187.png

(a) Force constants w.r.t atomic distance

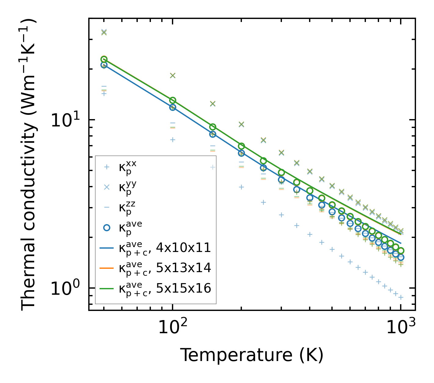
Summary

../../_images/fig_kappa8976.png

(a) Temperature-dependent lattice thermal conductivity

../../_images/fig_times19553.png

(b) Computation time