mp-29057-2/Nb3SBr7/anharm

Equation of state

../../_images/fig_bm5559.png

(a) Equation of state

Harmonic properties

../../_images/fig_bandos_pr11378.png

(a) Phonon dispersion with participation ratio and DOS

../../_images/fig_bandos15367.png

(b) Phonon dispersion and DOS

../../_images/fig_thermo11378.png

(c) Thermodynamic properties

Grüneisen parameters

../../_images/fig_gru_all4712.png

(a) Grüneisen parameters

../../_images/fig_gruneisen4712.png

(b) Phonon dispersion with Grüneisen parameters

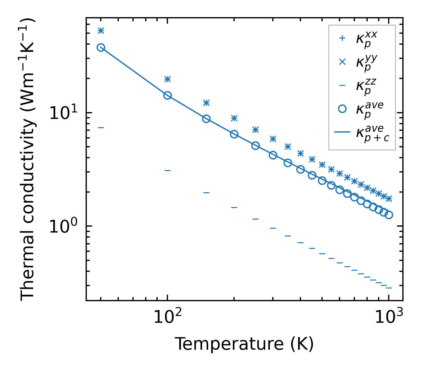
Thermal conductivity

3-phonon (LASSO), supercell 3x3x3 — q-mesh: 10x10x11, supercell: 3x3x3

../../_images/fig_kappa8895.png

(a) Temperature-dependent lattice thermal conductivity

../../_images/fig_kappa_vs_grain_size4771.png

(b) Peierls lattice thermal conductivity w.r.t grain size

Phonon lifetime and scattering rates

../../_images/fig_lifetime4668.png

(a) Phonon lifetime due to phonon-phonon scattering

../../_images/fig_scat_rates4667.png

(b) Phonon scattering rates

Cumulative and spectral thermal conductivity

../../_images/fig_cumu_frequency4668.png

(a) Spectral and cumulative thermal conductivity w.r.t frequency

../../_images/fig_cumu_mfp4667.png

(b) Spectral and cumulative thermal conductivity w.r.t MFP

Force constants

../../_images/fig_fc211094.png

(a) Force constants w.r.t atomic distance

Summary

../../_images/fig_times19413.png

(a) Computation time