mp-29196/AuCN/anharm

Harmonic properties

../../_images/fig_bandos_pr11435.png

(a) Phonon dispersion with participation ratio and DOS

../../_images/fig_thermo11435.png

(b) Thermodynamic properties

Grüneisen parameters

../../_images/fig_gru_all4737.png

(a) Grüneisen parameters

../../_images/fig_gruneisen4737.png

(b) Phonon dispersion with Grüneisen parameters

Thermal conductivity

3-phonon (LASSO) — q-mesh: 22x22x14, supercell: 4x4x3

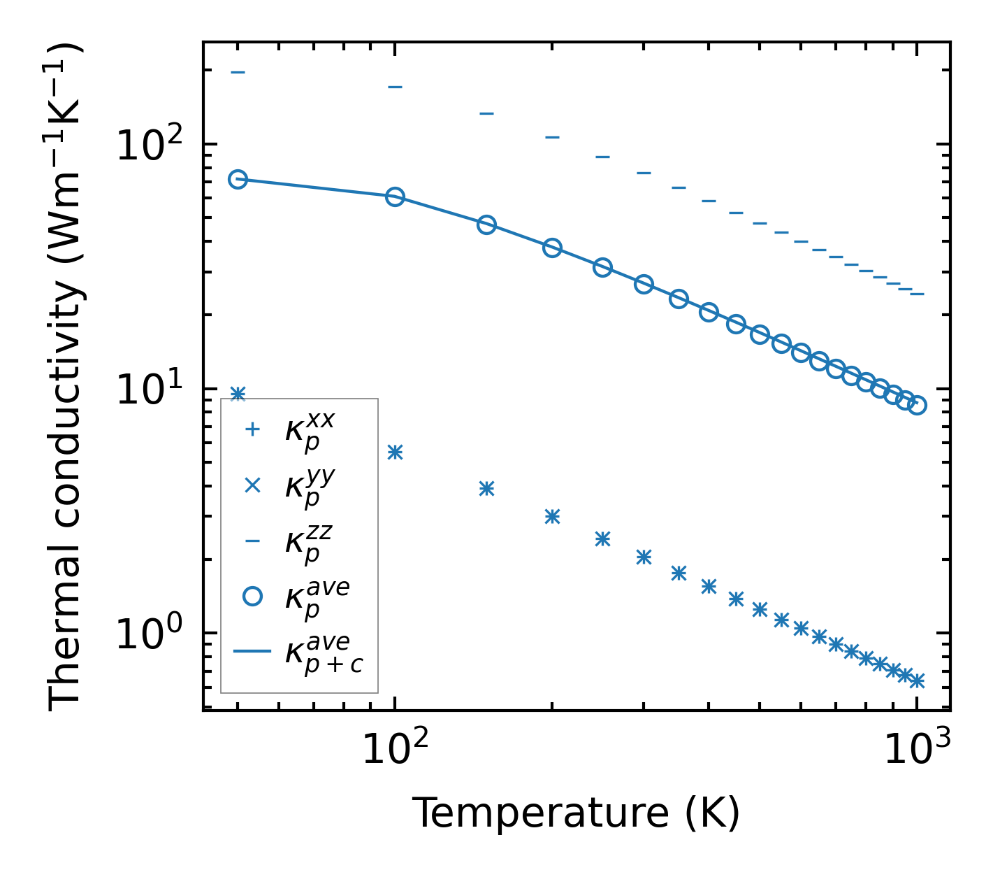
../../_images/fig_kappa8939.png

(a) Temperature-dependent lattice thermal conductivity

../../_images/fig_kappa_vs_grain_size4795.png

(b) Peierls lattice thermal conductivity w.r.t grain size

Phonon lifetime and scattering rates

../../_images/fig_lifetime4692.png

(a) Phonon lifetime due to phonon-phonon scattering

../../_images/fig_scat_rates4691.png

(b) Phonon scattering rates

Cumulative and spectral thermal conductivity

../../_images/fig_cumu_frequency4692.png

(a) Spectral and cumulative thermal conductivity w.r.t frequency

../../_images/fig_cumu_mfp4691.png

(b) Spectral and cumulative thermal conductivity w.r.t MFP

Force constants

../../_images/fig_fc211151.png

(a) Force constants w.r.t atomic distance

Summary

../../_images/fig_kappa8940.png

(a) Temperature-dependent lattice thermal conductivity

../../_images/fig_times19495.png

(b) Computation time