mp-29750-2/CsMgBr3/anharm

Equation of state

../../_images/fig_bm5519.png

(a) Equation of state

Harmonic properties

../../_images/fig_bandos_pr11299.png

(a) Phonon dispersion with participation ratio and DOS

../../_images/fig_thermo11299.png

(b) Thermodynamic properties

Grüneisen parameters

../../_images/fig_gru_all4671.png

(a) Grüneisen parameters

../../_images/fig_gruneisen4671.png

(b) Phonon dispersion with Grüneisen parameters

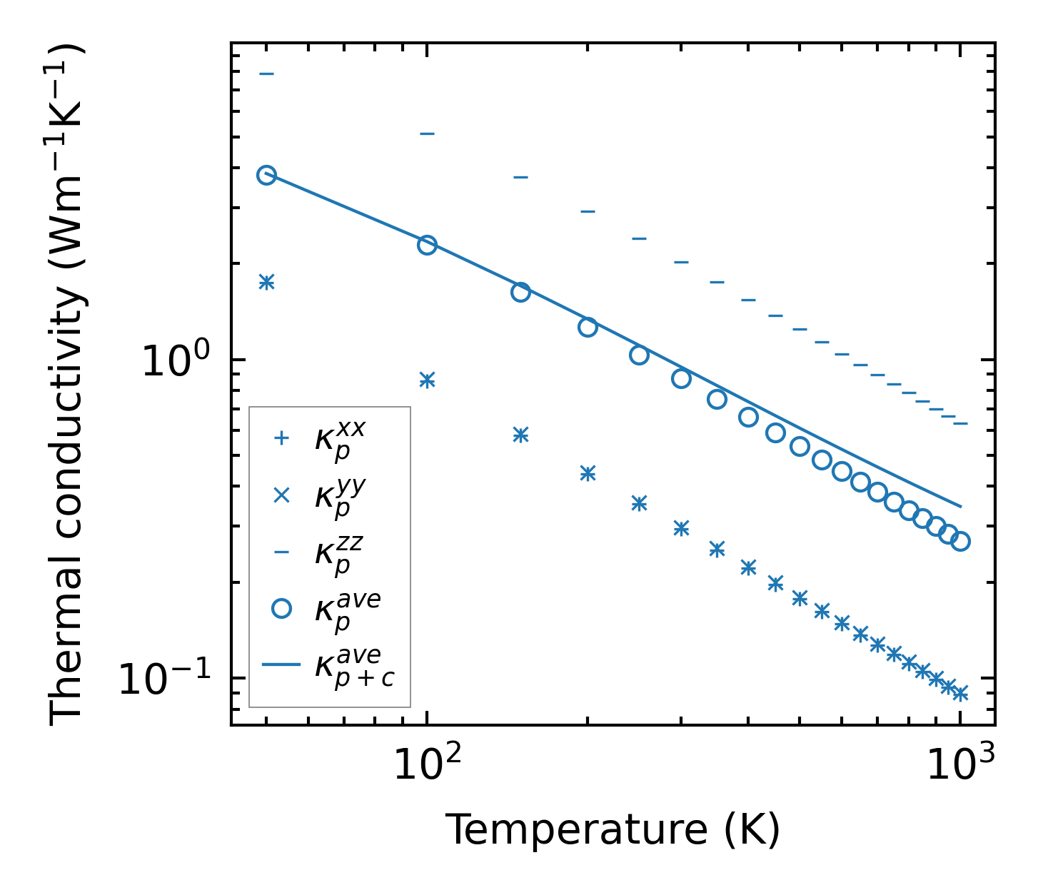
Thermal conductivity

3-phonon (LASSO) — q-mesh: 9x9x11, supercell: 2x2x3

../../_images/fig_kappa8816.png

(a) Temperature-dependent lattice thermal conductivity

../../_images/fig_kappa_vs_grain_size4728.png

(b) Peierls lattice thermal conductivity w.r.t grain size

Phonon lifetime and scattering rates

../../_images/fig_lifetime4627.png

(a) Phonon lifetime due to phonon-phonon scattering

../../_images/fig_scat_rates4626.png

(b) Phonon scattering rates

Cumulative and spectral thermal conductivity

../../_images/fig_cumu_frequency4627.png

(a) Spectral and cumulative thermal conductivity w.r.t frequency

../../_images/fig_cumu_mfp4626.png

(b) Spectral and cumulative thermal conductivity w.r.t MFP

Force constants

../../_images/fig_fc211015.png

(a) Force constants w.r.t atomic distance

Summary

../../_images/fig_kappa8817.png

(a) Temperature-dependent lattice thermal conductivity

../../_images/fig_times19293.png

(b) Computation time