mp-29577-2/CsBrO4/anharm

Equation of state

../../_images/fig_bm5493.png

(a) Equation of state

Harmonic properties

../../_images/fig_bandos_pr11257.png

(a) Phonon dispersion with participation ratio and DOS

../../_images/fig_thermo11257.png

(b) Thermodynamic properties

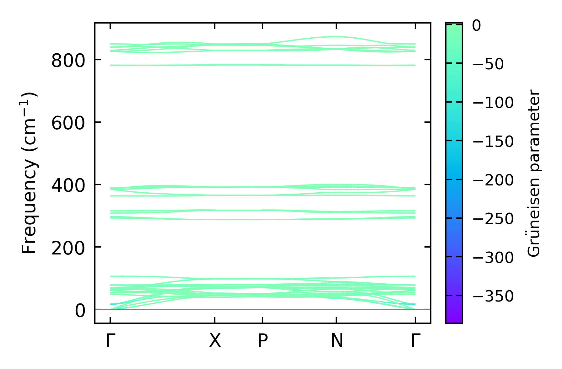
Grüneisen parameters

../../_images/fig_gru_all4652.png

(a) Grüneisen parameters

../../_images/fig_gruneisen4652.png

(b) Phonon dispersion with Grüneisen parameters

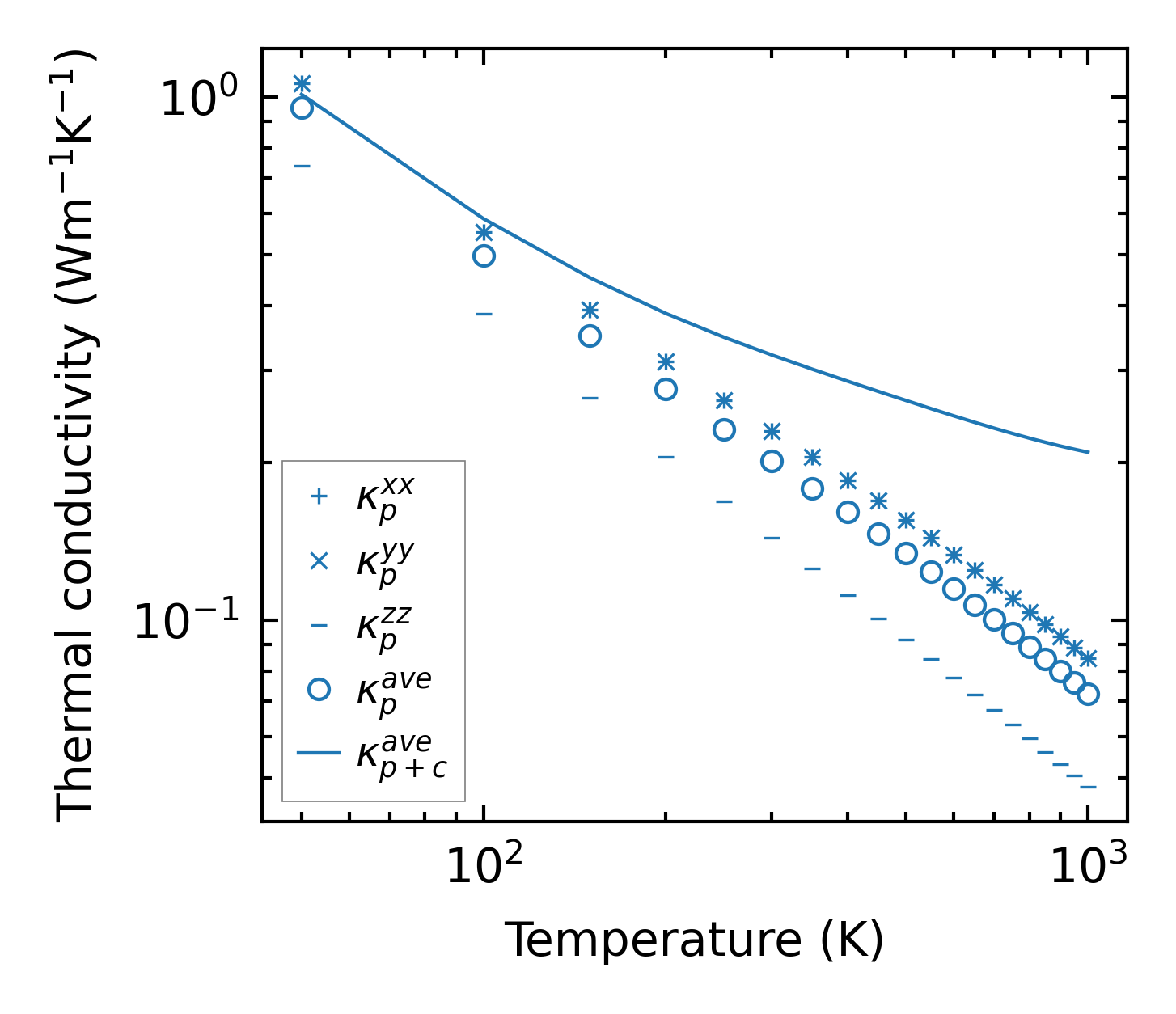
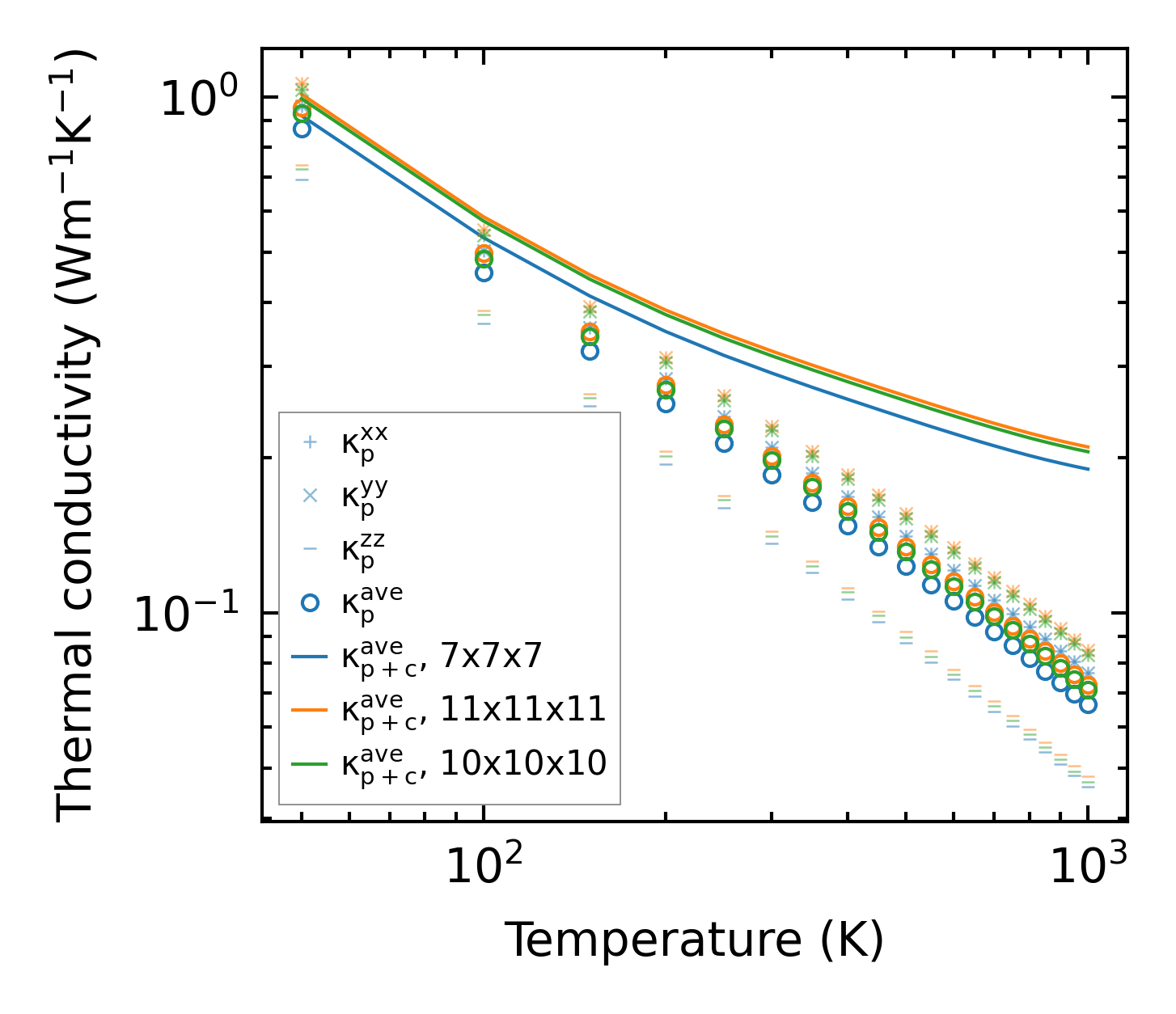
Thermal conductivity

3-phonon (LASSO) — q-mesh: 11x11x11, supercell: 2x2x1

../../_images/fig_kappa8781.png

(a) Temperature-dependent lattice thermal conductivity

../../_images/fig_kappa_vs_grain_size4709.png

(b) Peierls lattice thermal conductivity w.r.t grain size

Phonon lifetime and scattering rates

../../_images/fig_lifetime4608.png

(a) Phonon lifetime due to phonon-phonon scattering

../../_images/fig_scat_rates4607.png

(b) Phonon scattering rates

Cumulative and spectral thermal conductivity

../../_images/fig_cumu_frequency4608.png

(a) Spectral and cumulative thermal conductivity w.r.t frequency

../../_images/fig_cumu_mfp4607.png

(b) Spectral and cumulative thermal conductivity w.r.t MFP

Force constants

../../_images/fig_fc210973.png

(a) Force constants w.r.t atomic distance

Summary

../../_images/fig_kappa8782.png

(a) Temperature-dependent lattice thermal conductivity

../../_images/fig_times19215.png

(b) Computation time