mp-29955-2/Hg3Se2I2/anharm

Equation of state

../../_images/fig_bm5438.png

(a) Equation of state

Harmonic properties

../../_images/fig_bandos_pr11047.png

(a) Phonon dispersion with participation ratio and DOS

../../_images/fig_bandos14971.png

(b) Phonon dispersion and DOS

../../_images/fig_thermo11047.png

(c) Thermodynamic properties

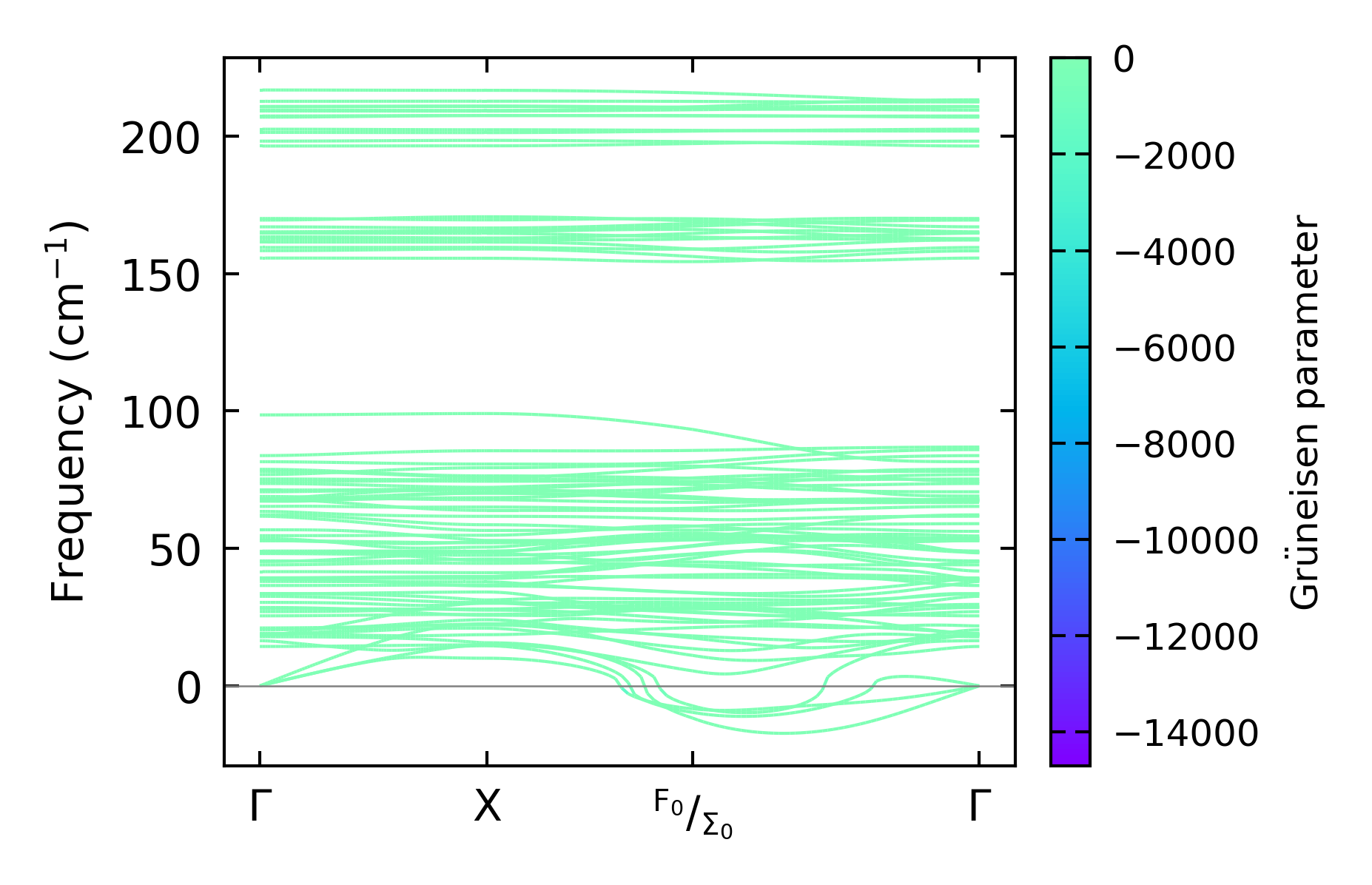
Grüneisen parameters

../../_images/fig_gru_all4539.png

(a) Grüneisen parameters

../../_images/fig_gruneisen4539.png

(b) Phonon dispersion with Grüneisen parameters

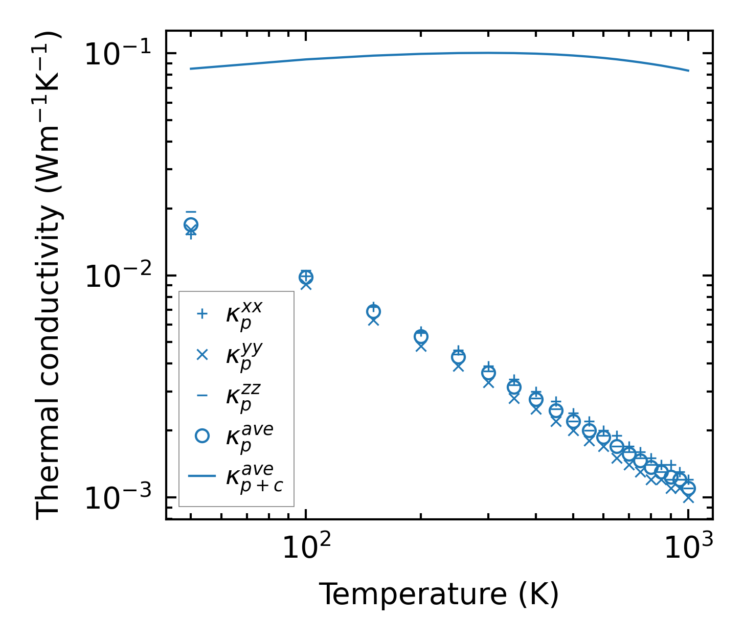
Thermal conductivity

3-phonon (LASSO), supercell 2x1x2 — q-mesh: 7x7x7, supercell: 2x1x2

../../_images/fig_kappa8564.png

(a) Temperature-dependent lattice thermal conductivity

../../_images/fig_kappa_vs_grain_size4594.png

(b) Peierls lattice thermal conductivity w.r.t grain size

Phonon lifetime and scattering rates

../../_images/fig_lifetime4495.png

(a) Phonon lifetime due to phonon-phonon scattering

../../_images/fig_scat_rates4494.png

(b) Phonon scattering rates

Cumulative and spectral thermal conductivity

../../_images/fig_cumu_frequency4495.png

(a) Spectral and cumulative thermal conductivity w.r.t frequency

../../_images/fig_cumu_mfp4494.png

(b) Spectral and cumulative thermal conductivity w.r.t MFP

Force constants

../../_images/fig_fc210771.png

(a) Force constants w.r.t atomic distance

Summary

../../_images/fig_times18866.png

(a) Computation time