mp-29883-2/Rb3PbCl5/anharm

Equation of state

../../_images/fig_bm5426.png

(a) Equation of state

Harmonic properties

../../_images/fig_bandos_pr11022.png

(a) Phonon dispersion with participation ratio and DOS

../../_images/fig_thermo11022.png

(b) Thermodynamic properties

Grüneisen parameters

../../_images/fig_gru_all4525.png

(a) Grüneisen parameters

../../_images/fig_gruneisen4525.png

(b) Phonon dispersion with Grüneisen parameters

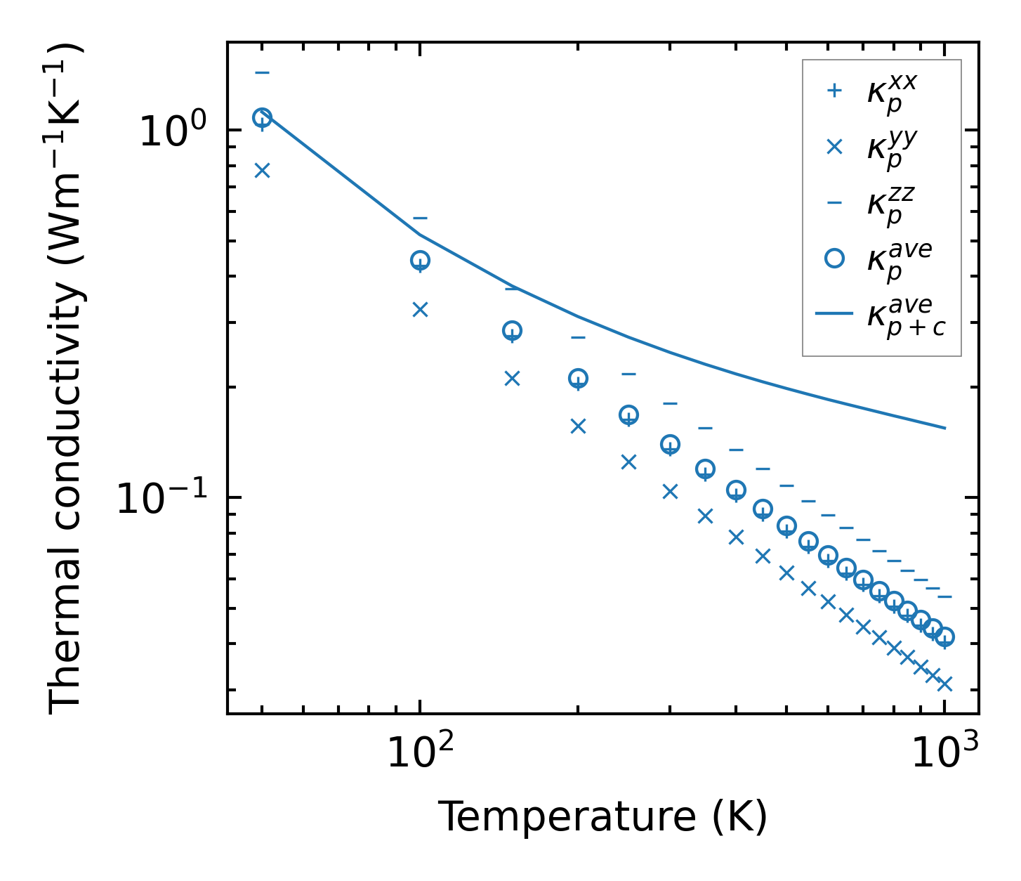
Thermal conductivity

3-phonon (LASSO) — q-mesh: 8x4x8, supercell: 2x1x2

../../_images/fig_kappa8542.png

(a) Temperature-dependent lattice thermal conductivity

../../_images/fig_kappa_vs_grain_size4580.png

(b) Peierls lattice thermal conductivity w.r.t grain size

Phonon lifetime and scattering rates

../../_images/fig_lifetime4481.png

(a) Phonon lifetime due to phonon-phonon scattering

../../_images/fig_scat_rates4480.png

(b) Phonon scattering rates

Cumulative and spectral thermal conductivity

../../_images/fig_cumu_frequency4481.png

(a) Spectral and cumulative thermal conductivity w.r.t frequency

../../_images/fig_cumu_mfp4480.png

(b) Spectral and cumulative thermal conductivity w.r.t MFP

Force constants

../../_images/fig_fc210746.png

(a) Force constants w.r.t atomic distance

Summary

../../_images/fig_kappa8543.png

(a) Temperature-dependent lattice thermal conductivity

../../_images/fig_times18829.png

(b) Computation time