mp-29008/Li6MgBr8/anharm

Harmonic properties

../../_images/fig_bandos_pr11355.png

(a) Phonon dispersion with participation ratio and DOS

../../_images/fig_thermo11355.png

(b) Thermodynamic properties

Grüneisen parameters

../../_images/fig_gru_all4698.png

(a) Grüneisen parameters

../../_images/fig_gruneisen4698.png

(b) Phonon dispersion with Grüneisen parameters

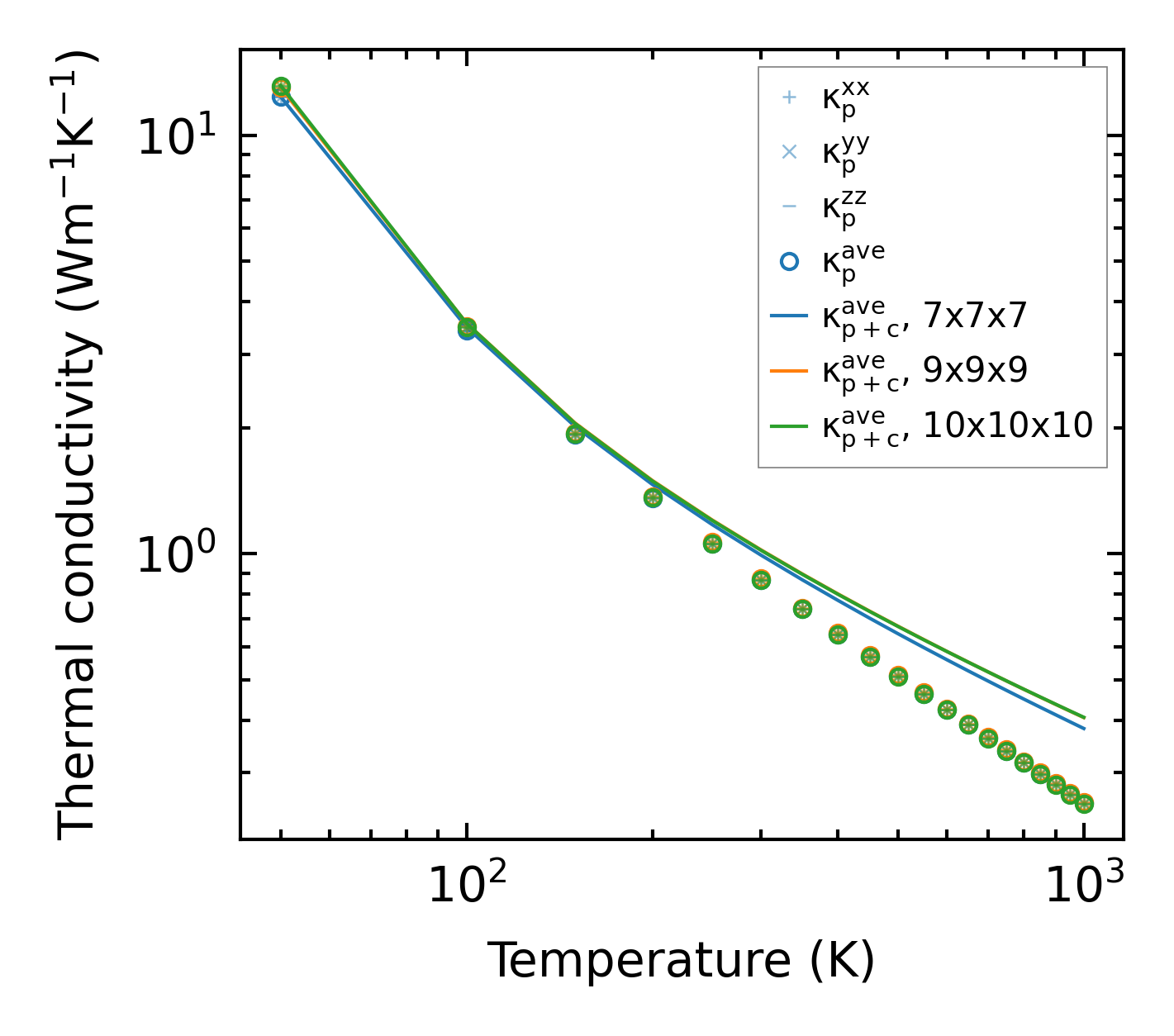
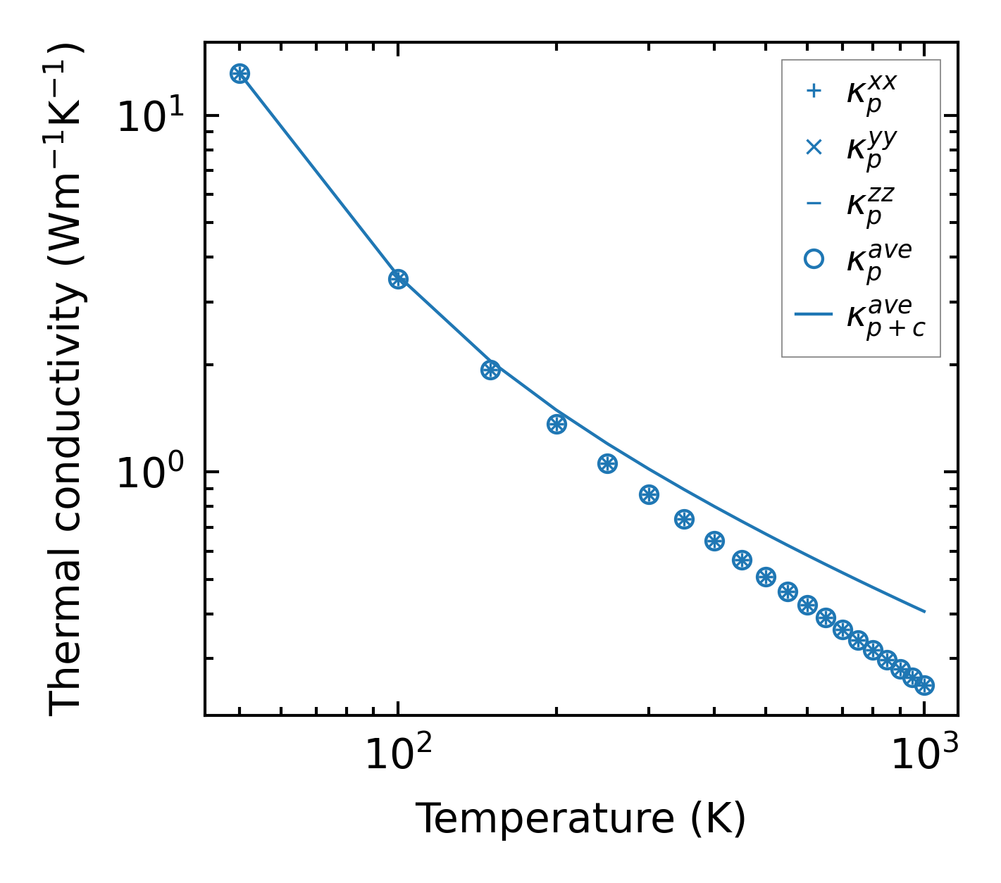
Thermal conductivity

3-phonon (LASSO) — q-mesh: 10x10x10, supercell: 1x1x1

../../_images/fig_kappa8868.png

(a) Temperature-dependent lattice thermal conductivity

../../_images/fig_kappa_vs_grain_size4757.png

(b) Peierls lattice thermal conductivity w.r.t grain size

Phonon lifetime and scattering rates

../../_images/fig_lifetime4654.png

(a) Phonon lifetime due to phonon-phonon scattering

../../_images/fig_scat_rates4653.png

(b) Phonon scattering rates

Cumulative and spectral thermal conductivity

../../_images/fig_cumu_frequency4654.png

(a) Spectral and cumulative thermal conductivity w.r.t frequency

../../_images/fig_cumu_mfp4653.png

(b) Spectral and cumulative thermal conductivity w.r.t MFP

Force constants

../../_images/fig_fc211071.png

(a) Force constants w.r.t atomic distance

Summary

../../_images/fig_kappa8869.png

(a) Temperature-dependent lattice thermal conductivity

../../_images/fig_times19383.png

(b) Computation time