mp-29332/PtPb2O4/anharm

Harmonic properties

../../_images/fig_bandos_pr11492.png

(a) Phonon dispersion with participation ratio and DOS

../../_images/fig_thermo11492.png

(b) Thermodynamic properties

Grüneisen parameters

../../_images/fig_gru_all4764.png

(a) Grüneisen parameters

../../_images/fig_gruneisen4764.png

(b) Phonon dispersion with Grüneisen parameters

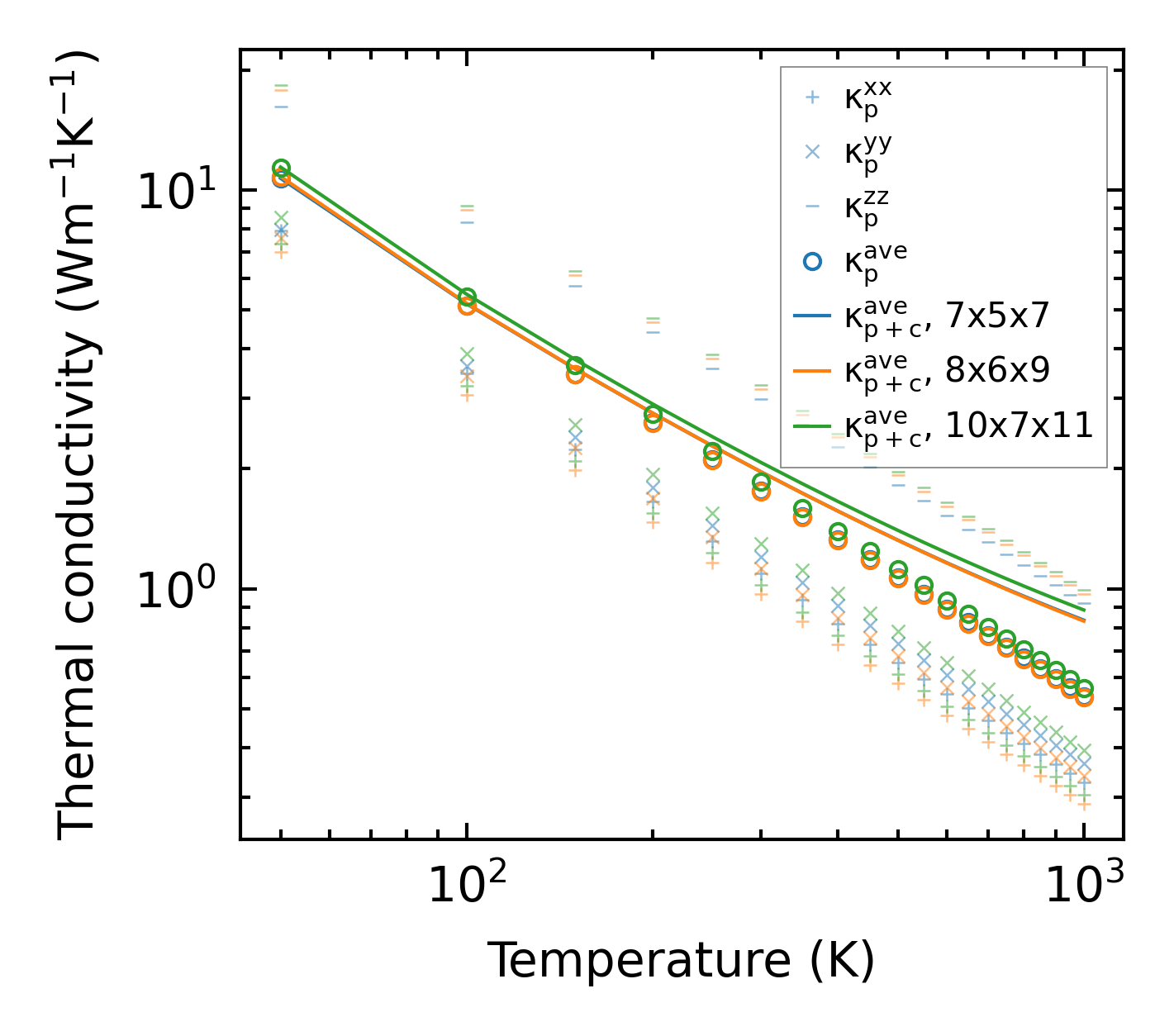
Thermal conductivity

3-phonon (LASSO) — q-mesh: 10x7x11, supercell: 2x1x2

../../_images/fig_kappa8992.png

(a) Temperature-dependent lattice thermal conductivity

../../_images/fig_kappa_vs_grain_size4823.png

(b) Peierls lattice thermal conductivity w.r.t grain size

Phonon lifetime and scattering rates

../../_images/fig_lifetime4719.png

(a) Phonon lifetime due to phonon-phonon scattering

../../_images/fig_scat_rates4718.png

(b) Phonon scattering rates

Cumulative and spectral thermal conductivity

../../_images/fig_cumu_frequency4719.png

(a) Spectral and cumulative thermal conductivity w.r.t frequency

../../_images/fig_cumu_mfp4718.png

(b) Spectral and cumulative thermal conductivity w.r.t MFP

Force constants

../../_images/fig_fc211207.png

(a) Force constants w.r.t atomic distance

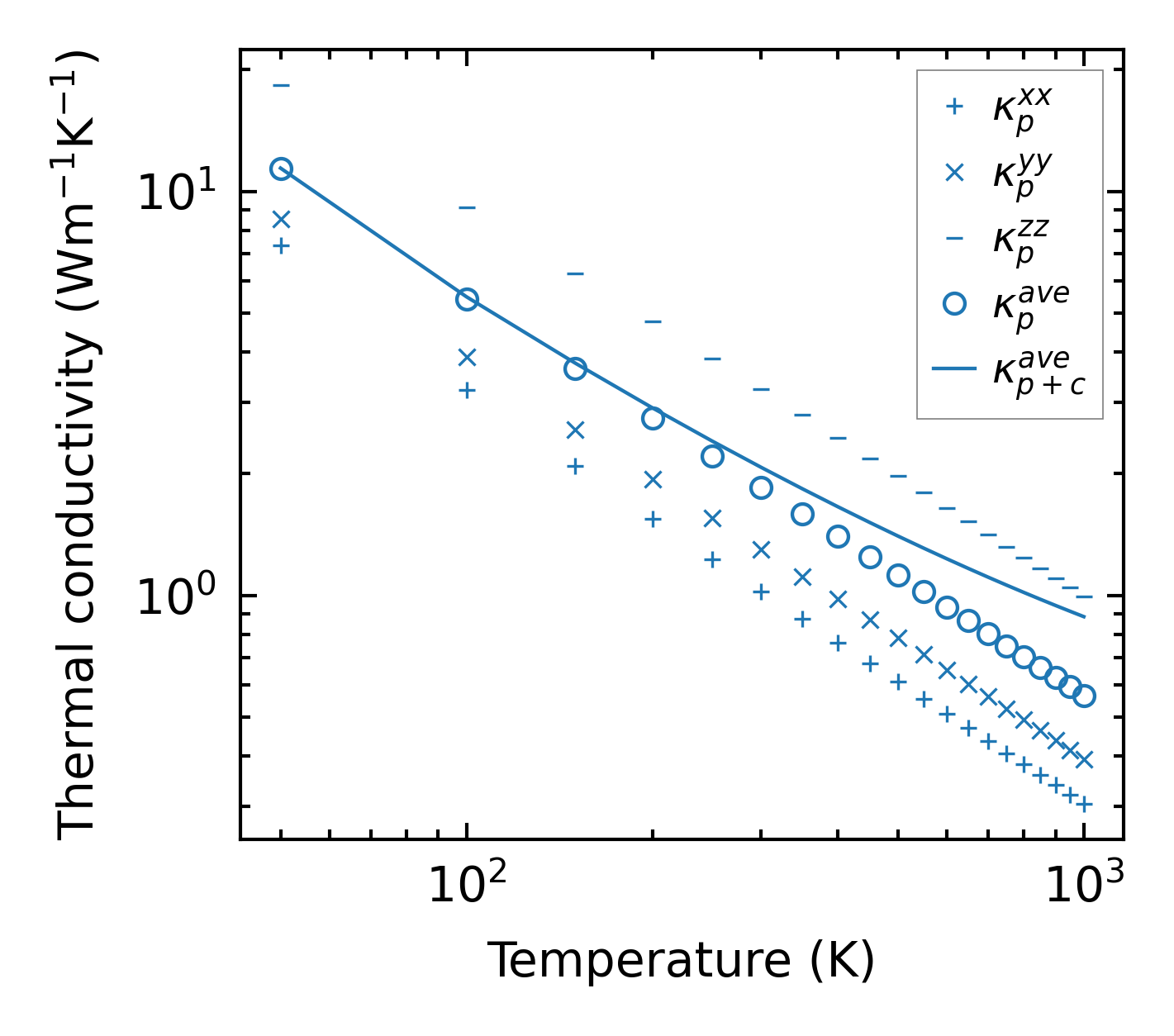
Summary

../../_images/fig_kappa8993.png

(a) Temperature-dependent lattice thermal conductivity

../../_images/fig_times19591.png

(b) Computation time