mp-29169/CdAu2F8/anharm

Equation of state

../../_images/fig_bm5577.png

(a) Equation of state

Harmonic properties

../../_images/fig_bandos_pr11420.png

(a) Phonon dispersion with participation ratio and DOS

../../_images/fig_thermo11420.png

(b) Thermodynamic properties

Grüneisen parameters

../../_images/fig_gru_all4732.png

(a) Grüneisen parameters

../../_images/fig_gruneisen4732.png

(b) Phonon dispersion with Grüneisen parameters

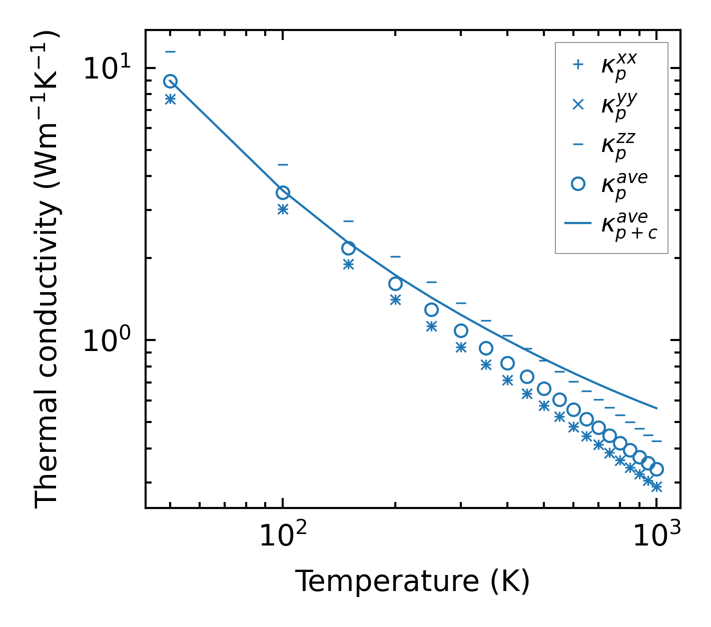
Thermal conductivity

3-phonon (LASSO) — q-mesh: 12x12x6, supercell: 2x2x1

../../_images/fig_kappa8929.png

(a) Temperature-dependent lattice thermal conductivity

../../_images/fig_kappa_vs_grain_size4790.png

(b) Peierls lattice thermal conductivity w.r.t grain size

Phonon lifetime and scattering rates

../../_images/fig_lifetime4687.png

(a) Phonon lifetime due to phonon-phonon scattering

../../_images/fig_scat_rates4686.png

(b) Phonon scattering rates

Cumulative and spectral thermal conductivity

../../_images/fig_cumu_frequency4687.png

(a) Spectral and cumulative thermal conductivity w.r.t frequency

../../_images/fig_cumu_mfp4686.png

(b) Spectral and cumulative thermal conductivity w.r.t MFP

Force constants

../../_images/fig_fc211136.png

(a) Force constants w.r.t atomic distance

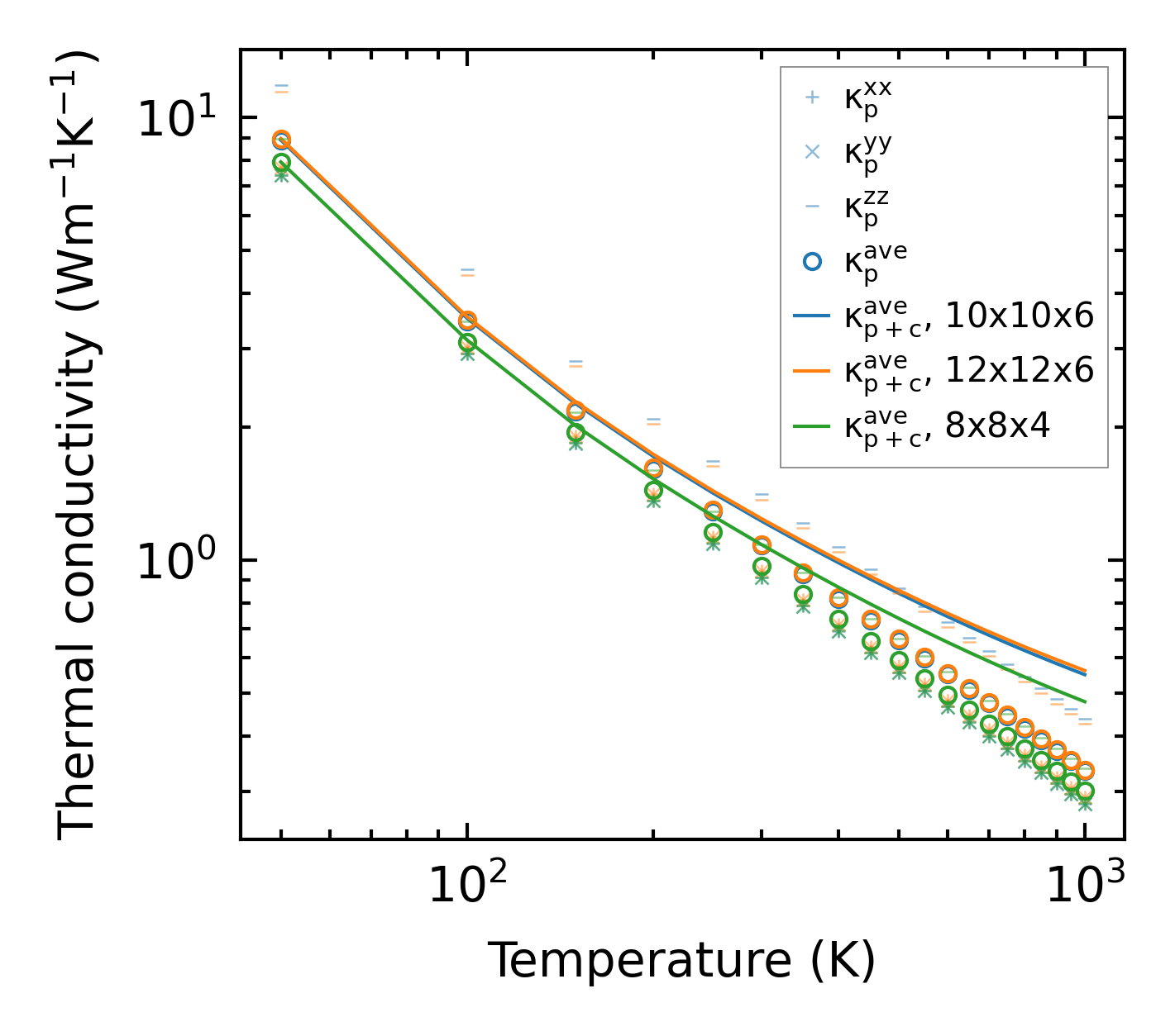
Summary

../../_images/fig_kappa8930.png

(a) Temperature-dependent lattice thermal conductivity

../../_images/fig_times19473.png

(b) Computation time