mp-29151/Li5NCl2/anharm

Harmonic properties

../../_images/fig_bandos_pr11413.png

(a) Phonon dispersion with participation ratio and DOS

../../_images/fig_thermo11413.png

(b) Thermodynamic properties

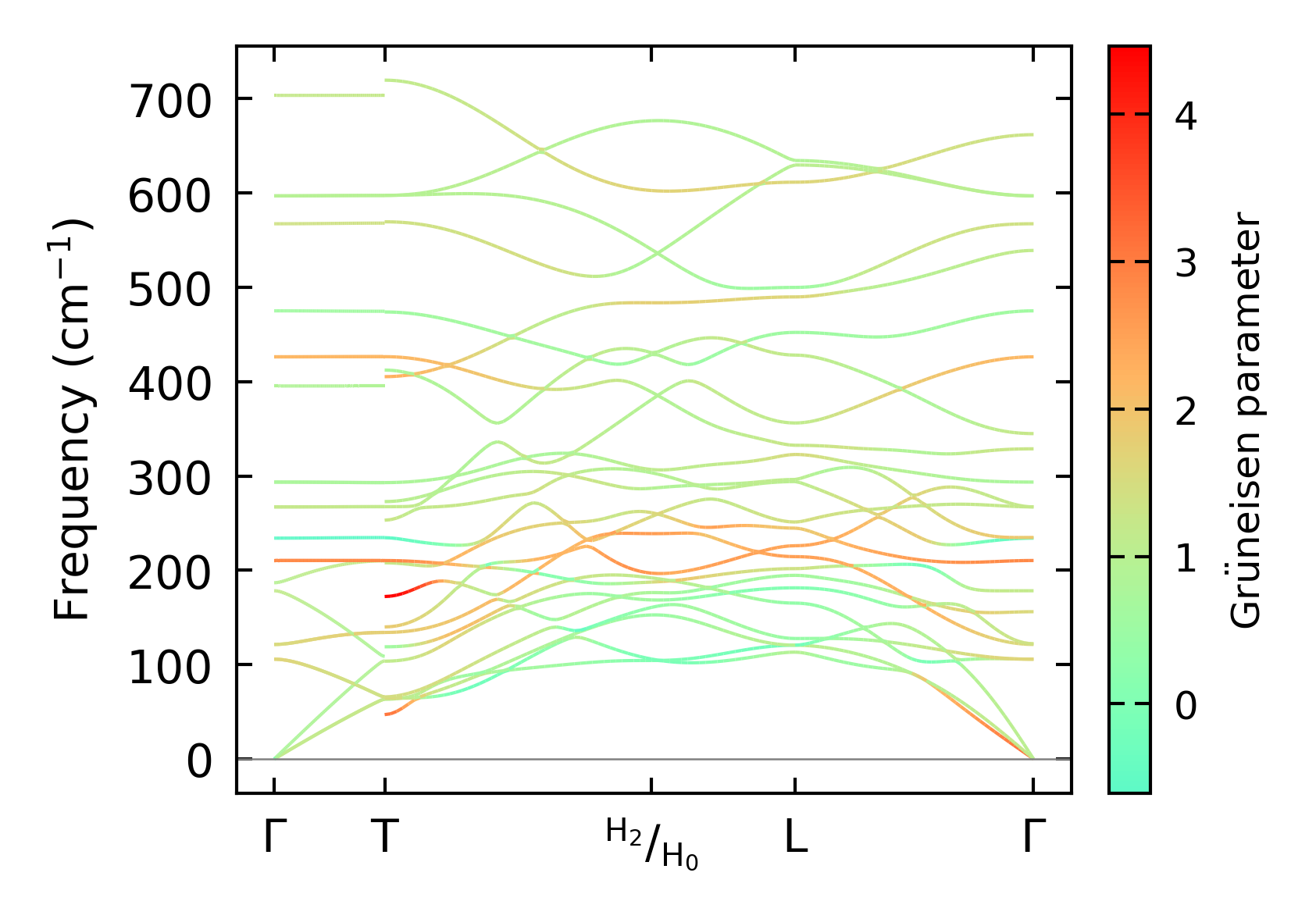
Grüneisen parameters

../../_images/fig_gru_all4730.png

(a) Grüneisen parameters

../../_images/fig_gruneisen4730.png

(b) Phonon dispersion with Grüneisen parameters

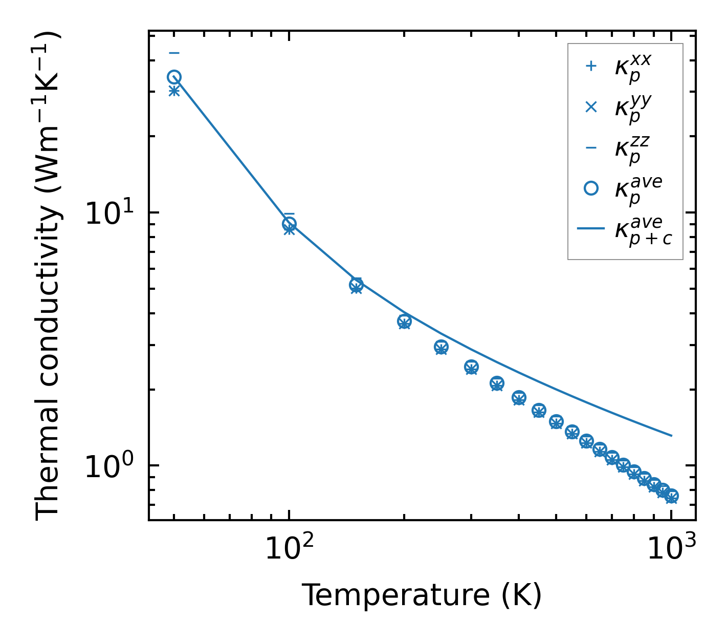
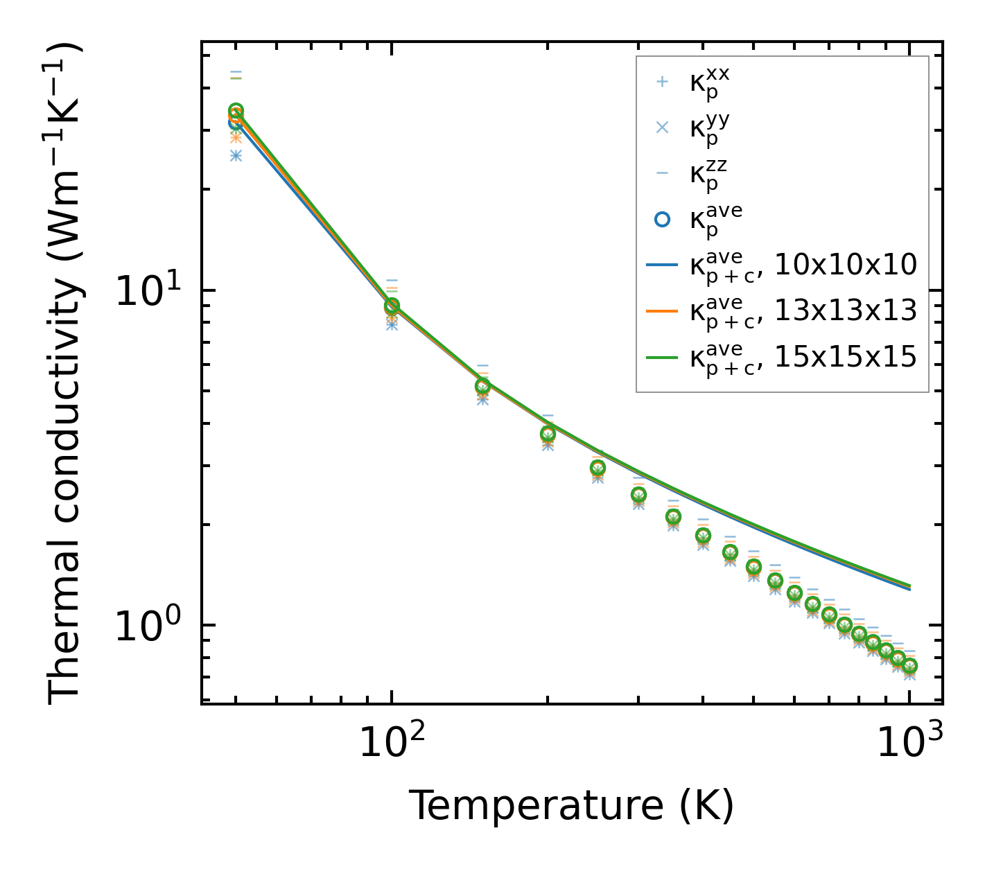
Thermal conductivity

3-phonon (LASSO) — q-mesh: 15x15x15, supercell: 2x2x1

../../_images/fig_kappa8925.png

(a) Temperature-dependent lattice thermal conductivity

../../_images/fig_kappa_vs_grain_size4788.png

(b) Peierls lattice thermal conductivity w.r.t grain size

Phonon lifetime and scattering rates

../../_images/fig_lifetime4685.png

(a) Phonon lifetime due to phonon-phonon scattering

../../_images/fig_scat_rates4684.png

(b) Phonon scattering rates

Cumulative and spectral thermal conductivity

../../_images/fig_cumu_frequency4685.png

(a) Spectral and cumulative thermal conductivity w.r.t frequency

../../_images/fig_cumu_mfp4684.png

(b) Spectral and cumulative thermal conductivity w.r.t MFP

Force constants

../../_images/fig_fc211129.png

(a) Force constants w.r.t atomic distance

Summary

../../_images/fig_kappa8926.png

(a) Temperature-dependent lattice thermal conductivity

../../_images/fig_times19463.png

(b) Computation time