mp-29009-2/Li2MgBr4/anharm

Harmonic properties

../../_images/fig_bandos_pr11357.png

(a) Phonon dispersion with participation ratio and DOS

../../_images/fig_thermo11357.png

(b) Thermodynamic properties

Grüneisen parameters

../../_images/fig_gru_all4700.png

(a) Grüneisen parameters

../../_images/fig_gruneisen4700.png

(b) Phonon dispersion with Grüneisen parameters

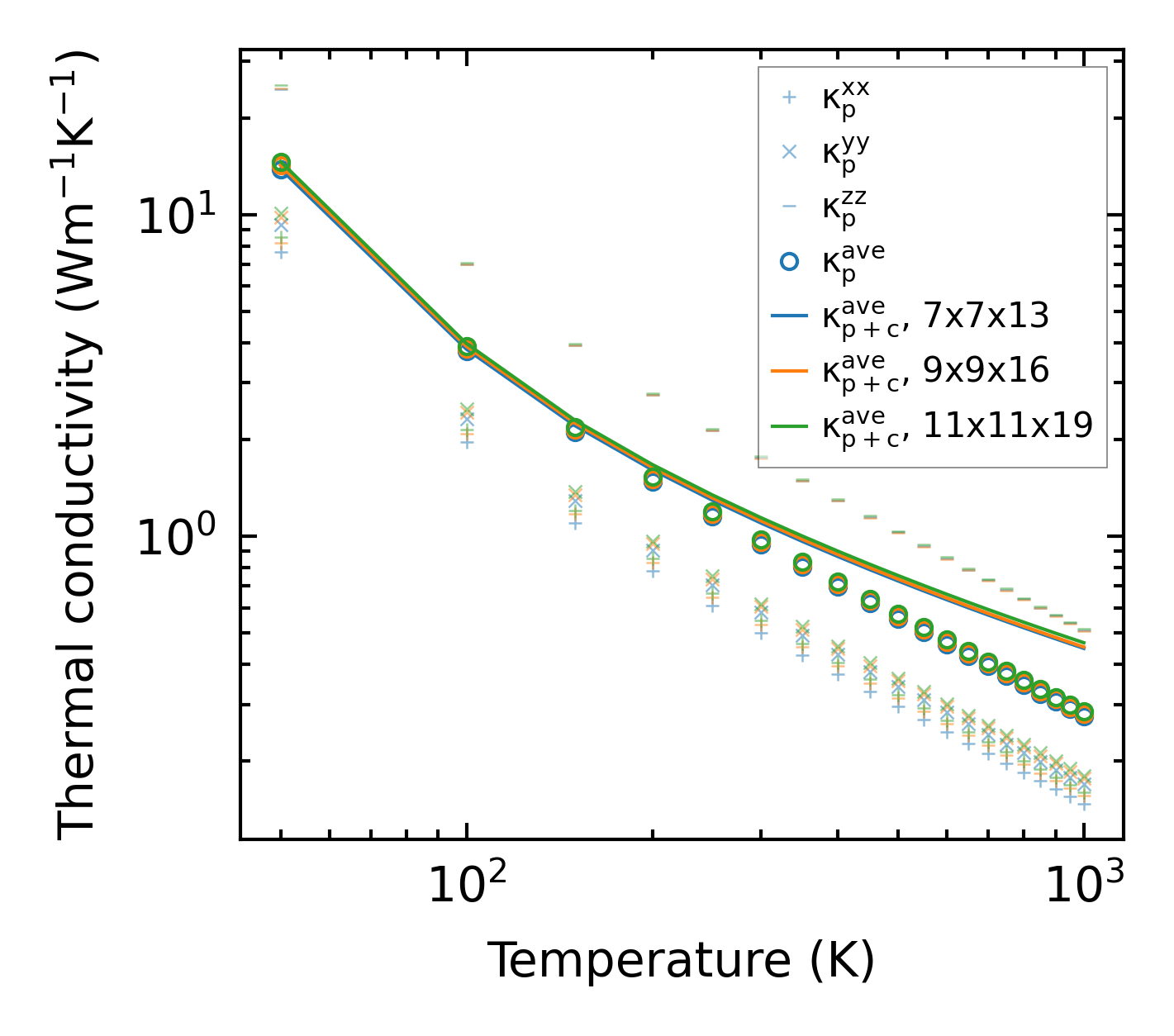
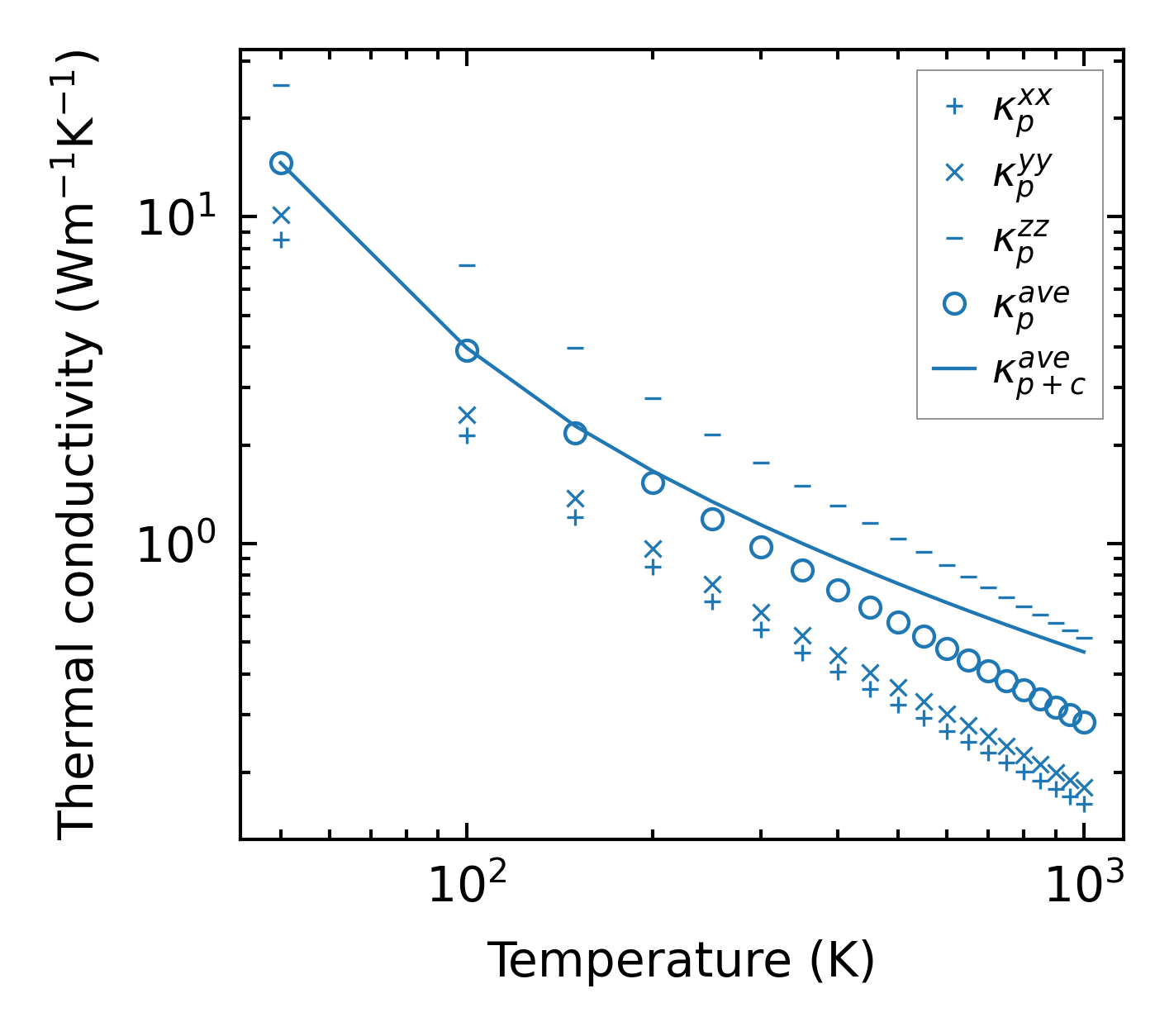
Thermal conductivity

3-phonon (LASSO) — q-mesh: 11x11x19, supercell: 2x1x3

../../_images/fig_kappa8872.png

(a) Temperature-dependent lattice thermal conductivity

../../_images/fig_kappa_vs_grain_size4759.png

(b) Peierls lattice thermal conductivity w.r.t grain size

Phonon lifetime and scattering rates

../../_images/fig_lifetime4656.png

(a) Phonon lifetime due to phonon-phonon scattering

../../_images/fig_scat_rates4655.png

(b) Phonon scattering rates

Cumulative and spectral thermal conductivity

../../_images/fig_cumu_frequency4656.png

(a) Spectral and cumulative thermal conductivity w.r.t frequency

../../_images/fig_cumu_mfp4655.png

(b) Spectral and cumulative thermal conductivity w.r.t MFP

Force constants

../../_images/fig_fc211073.png

(a) Force constants w.r.t atomic distance

Summary

../../_images/fig_kappa8873.png

(a) Temperature-dependent lattice thermal conductivity

../../_images/fig_times19385.png

(b) Computation time